Информационная система
«Ёшкин Кот»

Государственные стандартыДекларация о соответствии Единый перечень продукции ТС Классификатор государственных стандартов Общероссийский классификатор стандартов Обязательная сертификация Окп Тематические сборники Технические регламенты РФ Технические регламенты Таможенного союзаСтроительная документацияТехническая документация

Найти:
Где:
Отображать:
Упорядочить:

Скачать ГОСТ Р 71766-2024 Экологический менеджмент. Учет затрат на материальные потоки. Общие положения

Дата актуализации: 01.06.2025

ГОСТ Р 71766-2024

Экологический менеджмент. Учет затрат на материальные потоки. Общие положения

Обозначение: ГОСТ Р 71766-2024
Статус:действует
Название рус.:Экологический менеджмент. Учет затрат на материальные потоки. Общие положения
Название англ.:Environmental management. Material flow cost accounting. General framework
Дата актуализации текста:01.06.2025
Дата актуализации описания:01.06.2025
Дата издания:25.11.2024
Дата введения:01.01.2025
Взамен:ГОСТ Р ИСО 14051-2014
Содержит требования:ISO 14051:2011
Нормативные ссылки:ГОСТ Р ИСО 14033;ГОСТ Р ИСО 14050
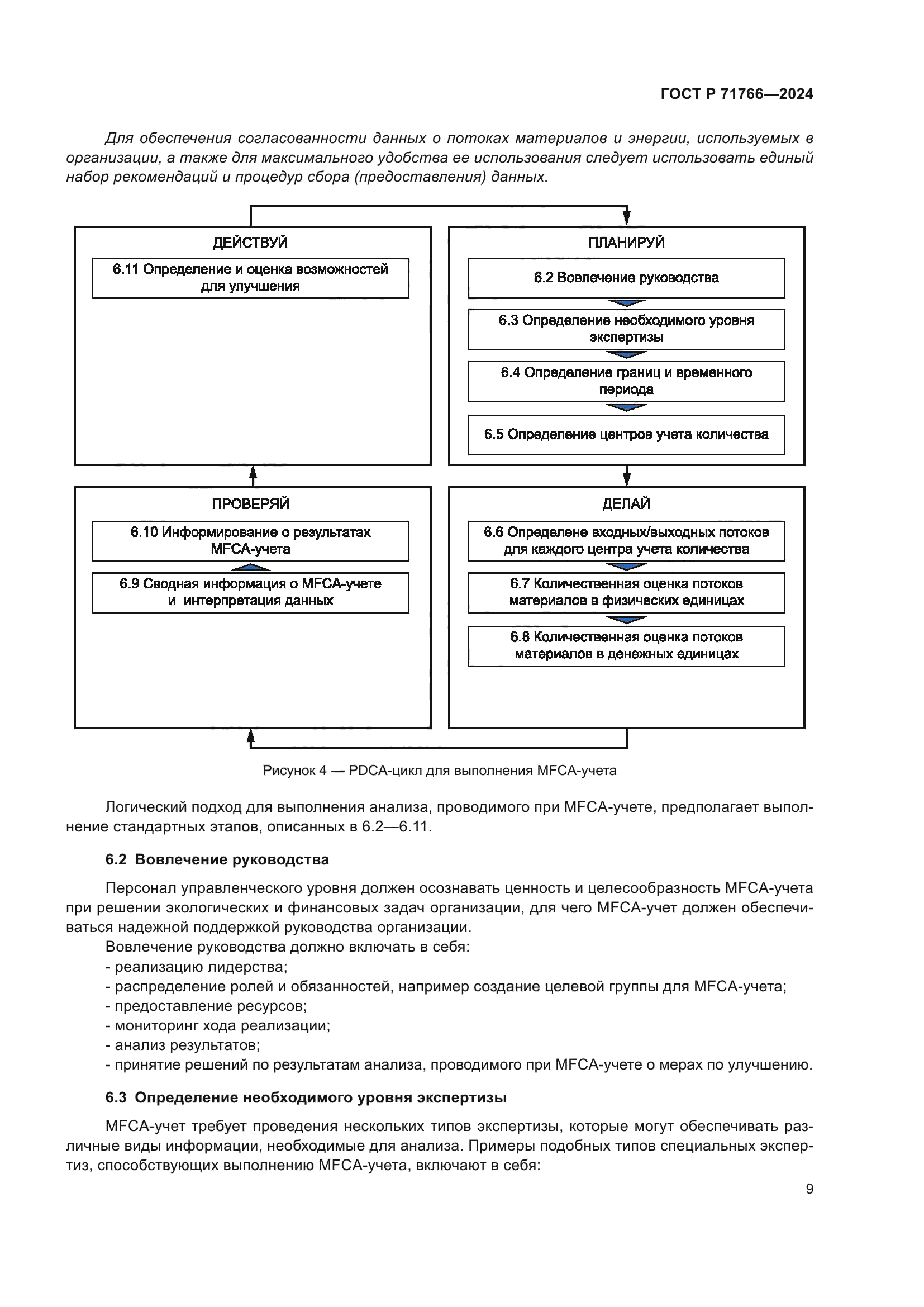
Область применения:Настоящий стандарт устанавливает общие положения учета затрат на материальные потоки, в рамках которого в организации отслеживают и количественно оценивают (в физических единицах, например, по массе или объему) потоки и запасы материалов, а также затраты, связанные с материальными потоками. Получаемая при этом информация может действовать как фактор мотивации организаций и менеджеров для изыскания ими возможностей одновременного получения финансовых выгод и уменьшения воздействия на окружающую среду. MFCA-учет распространяется на любую организацию, которая использует материалы и энергию, независимо от выпускаемой ей продукции, предоставляемых услуг, размера, структуры, местоположения и действующих систем менеджмента и управленческого учета
Расположен в:Государственные стандарты Общероссийский классификатор стандартов Охрана окружающей среды, защита человека от воздействия окружающей среды. Безопасность Охрана окружающей среды Управление окружающей средой Жизненный цикл продукции
ГОСТ Р 71766-2024ГОСТ Р 71766-2024ГОСТ Р 71766-2024ГОСТ Р 71766-2024ГОСТ Р 71766-2024ГОСТ Р 71766-2024ГОСТ Р 71766-2024ГОСТ Р 71766-2024ГОСТ Р 71766-2024ГОСТ Р 71766-2024ГОСТ Р 71766-2024ГОСТ Р 71766-2024ГОСТ Р 71766-2024ГОСТ Р 71766-2024ГОСТ Р 71766-2024ГОСТ Р 71766-2024ГОСТ Р 71766-2024ГОСТ Р 71766-2024ГОСТ Р 71766-2024ГОСТ Р 71766-2024ГОСТ Р 71766-2024ГОСТ Р 71766-2024ГОСТ Р 71766-2024ГОСТ Р 71766-2024ГОСТ Р 71766-2024ГОСТ Р 71766-2024ГОСТ Р 71766-2024ГОСТ Р 71766-2024ГОСТ Р 71766-2024ГОСТ Р 71766-2024ГОСТ Р 71766-2024ГОСТ Р 71766-2024ГОСТ Р 71766-2024ГОСТ Р 71766-2024ГОСТ Р 71766-2024ГОСТ Р 71766-2024ГОСТ Р 71766-2024ГОСТ Р 71766-2024ГОСТ Р 71766-2024ГОСТ Р 71766-2024

© 2013 Ёшкин Кот :-) Карта сайта