| Обозначение: |  ГОСТ Р 70846.13-2024 |
| Статус: | действует |
| Название рус.: | Национальная система пространственных данных. Требования к спецификации информационного продукта на основе пространственных данных |
| Название англ.: | National spatial data system. Requirements for information product specification based on spatial data |
| Дата актуализации текста: | 01.06.2025 |
| Дата актуализации описания: | 01.06.2025 |
| Дата издания: | 09.12.2024 |
| Дата введения: | 01.02.2025 |
| Взамен: | ГОСТ Р 57657-2017 |
| Нормативные ссылки: | ГОСТ Р 7.0.15-2013; ГОСТ Р 57668; ГОСТ Р 57656; ГОСТ Р 57773; ГОСТ Р 70846.2; ГОСТ Р 70846.16 |
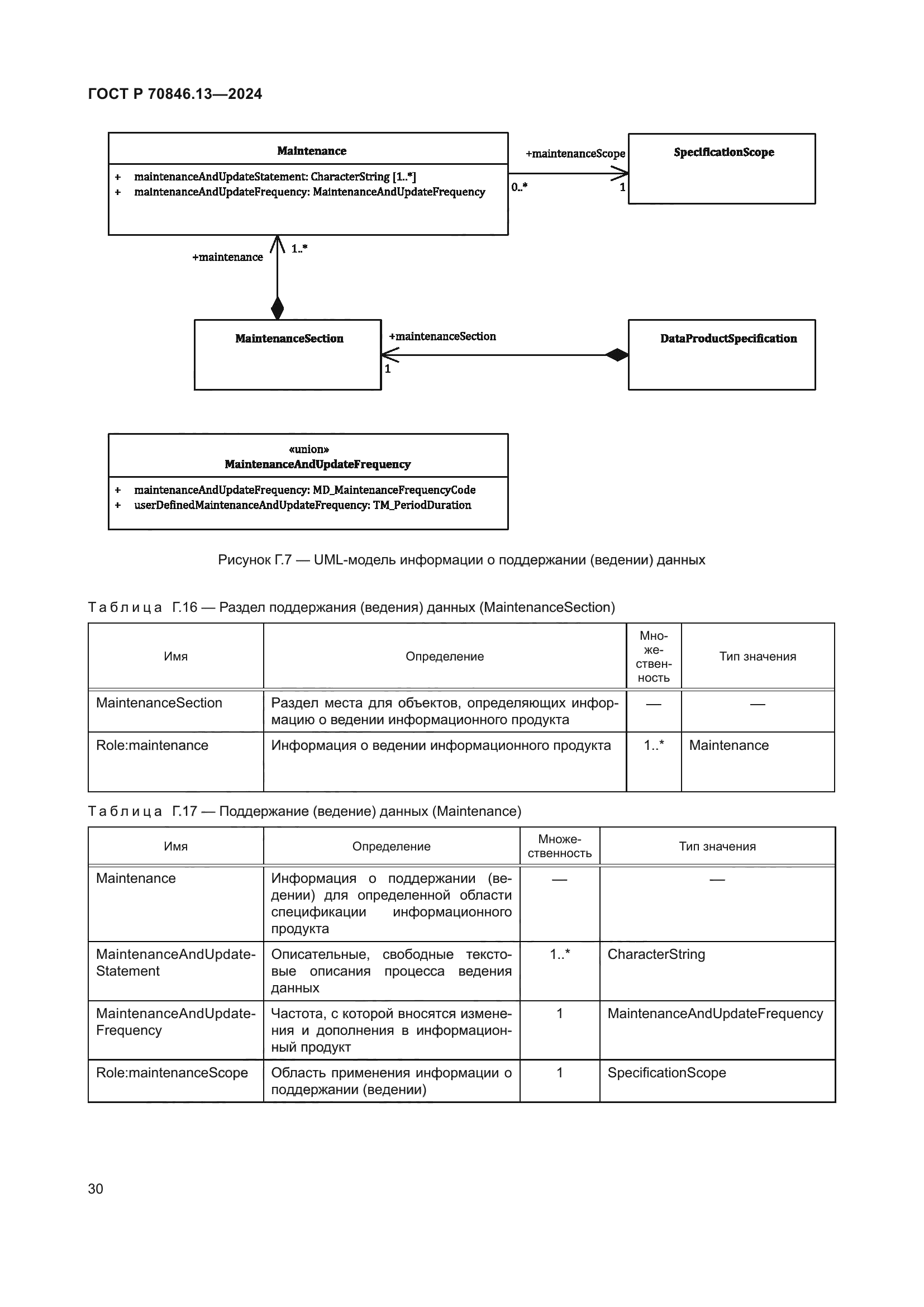
| Область применения: | Настоящий стандарт устанавливает требования к спецификации информационного продукта (далее — спецификация) на основе пространственных данных, концептуальные положения к которым изложены в [2] — [8]. Настоящий стандарт предназначен для создания спецификаций в целях их четкого и ясного изложения и дальнейшего использования производителями данных, поставщиками данных, поставщиками услуг и потенциальными пользователями информационных продуктов в сфере национальной системы пространственных данных [1], в том числе с использованием федеральной государственной географической информационной системы [9], [10] |
|
| Расположен в: |
|