| Обозначение: |  ГОСТ Р 71188-2024 |
| Статус: | действует |
| Название рус.: | Конструкции транспортные. Виртуальные испытательные стенды и порядок проведения испытаний цифровой модели изделий. Общие требования |
| Название англ.: | Transport structures. Virtual test benches and procedure for testing adigital model of products. General requirements |
| Дата актуализации текста: | 01.06.2025 |
| Дата актуализации описания: | 01.06.2025 |
| Дата издания: | 17.12.2024 |
| Дата введения: | 01.03.2025 |
| Нормативные ссылки: | ГОСТ 2.052;ГОСТ ISO/IEC 17025; ГОСТ Р 8.563; ГОСТ Р 8.568-2017; ГОСТ Р 57700.10-2018 |
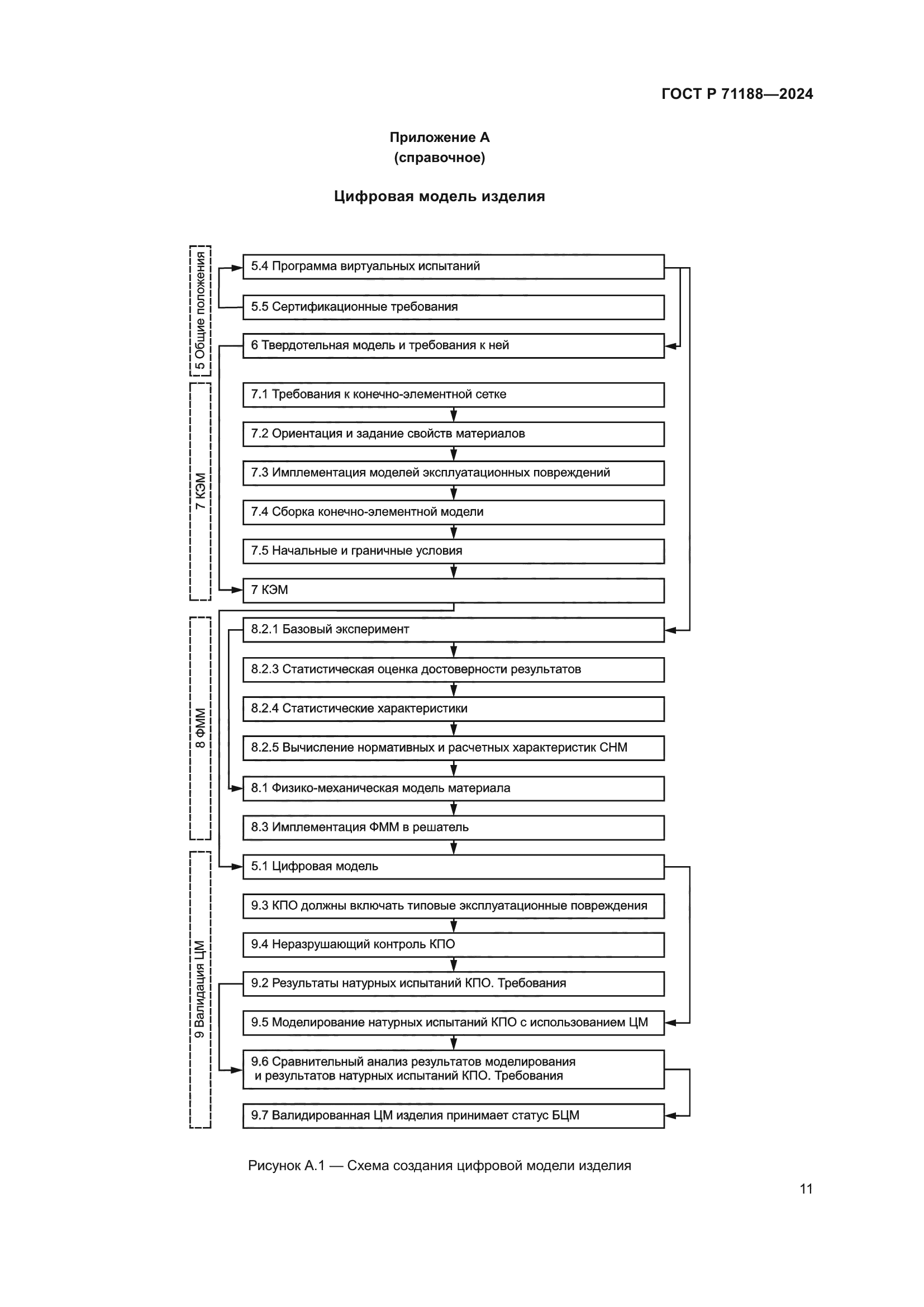
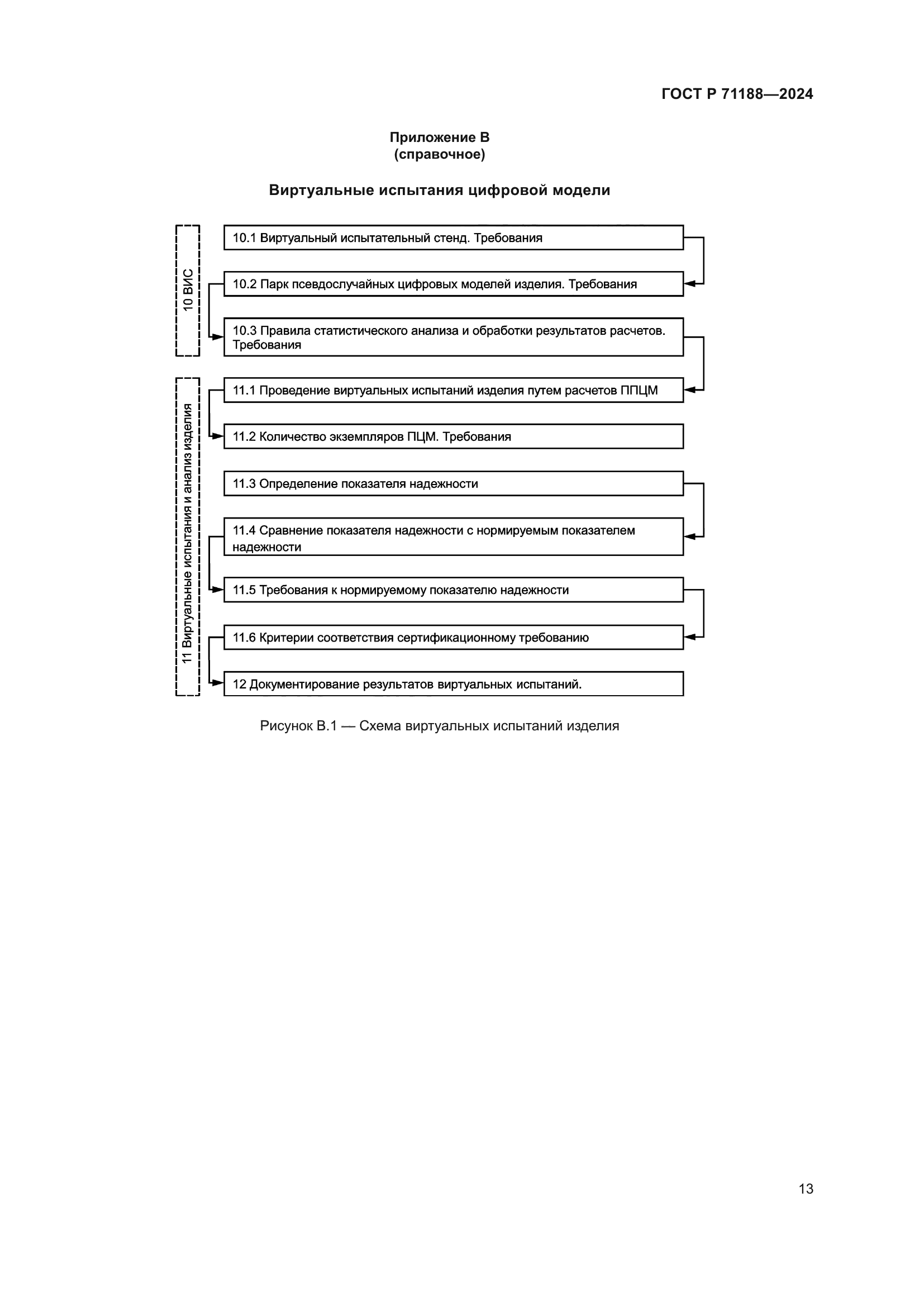
| Область применения: | Настоящий стандарт определяет общие рекомендации к разработке цифровых моделей и проведению виртуальных испытаний изделий из структурно-неоднородных материалов (СНМ) общетехнического назначения (далее — изделий). Положения настоящего стандарта могут быть применены для изделий из других материалов. Настоящий стандарт предназначен для применения конструкторами, технологами, специалистами контроля качества, иными специалистами, связанными с проектированием, производством, испытаниями и с подтверждением соответствия изделий. Настоящий стандарт предназначен для определения общих рекомендаций по разработке цифровых моделей и применению виртуальных испытаний изделий для подтверждения их соответствия |
|
| Расположен в: |
|