Информационная система
«Ёшкин Кот»
Государственные стандарты
Декларация о соответствии
Единый перечень продукции ТС
Классификатор государственных стандартов
Общероссийский классификатор стандартов
Обязательная сертификация
Окп
Тематические сборники
Технические регламенты РФ
Технические регламенты Таможенного союза
Строительная документация
Техническая документация
Найти:
Где:
В описании
В номере документа
В названии документа
Отображать:
Все найденные
Действующие
Заменённые
Отменённые
Принятые (но не вступившие в силу)
Утратившие силу в РФ
С истекшим сроком действия
Действующие только в РФ
С неизвестным статусом
Упорядочить:
По номеру стандарта
По дате введения
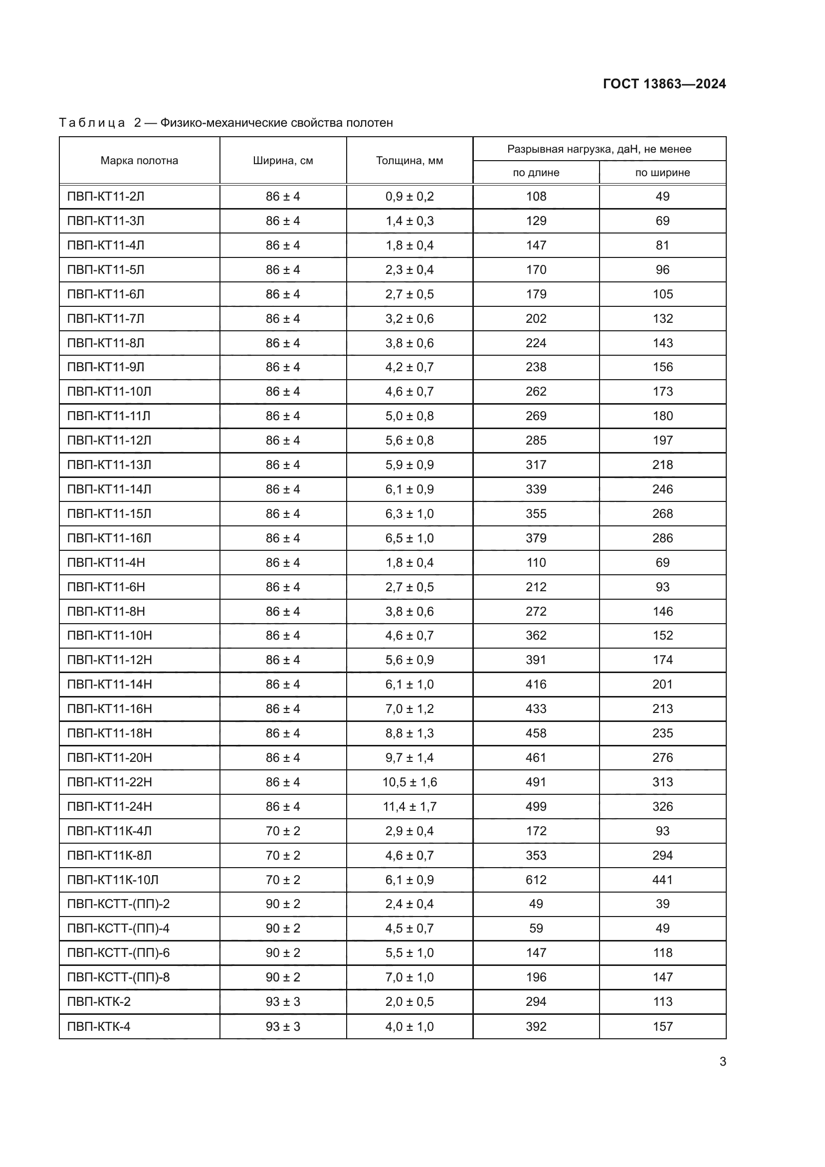
Скачать ГОСТ 13863-2024 Полотна вязально-прошивные дублированные технического назначения. Технические условия
Дата актуализации: 01.06.2025
ГОСТ 13863-2024
Полотна вязально-прошивные дублированные технического назначения. Технические условия
Обозначение:
ГОСТ 13863-2024
Статус:
принят
Название рус.:
Полотна вязально-прошивные дублированные технического назначения. Технические условия
Название англ.:
Laminated stitch-bonded sheets for technical use. Specifications
Дата актуализации текста:
01.06.2025
Дата актуализации описания:
01.06.2025
Дата регистрации:
31.05.2024
Дата издания:
09.01.2025
Дата введения:
01.06.2025
Взамен:
ГОСТ 13863-89
Нормативные ссылки:
ГОСТ 12.1.005
;
ГОСТ 12.4.021
;
ГОСТ 12.4.294
;
ГОСТ 6943.0
;
ГОСТ 6943.10-2015
;
ГОСТ 6943.17-94
;
ГОСТ 6943.18
;
ГОСТ 8273
;
ГОСТ 9412
;
ГОСТ 10354
;
ГОСТ 11109
;
ГОСТ 14192
;
ГОСТ 15902.2-2003
;
ГОСТ 17308
;
ГОСТ 29101-91
Область применения:
Настоящий стандарт распространяется на дублированные вязально-прошивные полотна (далее – полотна) технического назначения, предназначенные в качестве высокотемпературной теплоизоляции, наполнителей в композиционных материалах и для других целей
Расположен в:
Государственные стандарты
Общероссийский классификатор стандартов
Текстильное и кожевенное производство
Изделия текстильной промышленности
Текстильные изделия
© 2013 Ёшкин Кот :-)
Карта сайта