| Обозначение: |  ГОСТ Р 71811-2024 |
| Статус: | действует |
| Название рус.: | Цифровая промышленность. Унифицированная архитектура ОРС. Часть 6. Сопоставления |
| Название англ.: | Digital industry. OPC unified architecture. Part 6. Mapping |
| Дата актуализации текста: | 01.06.2025 |
| Дата актуализации описания: | 01.06.2025 |
| Дата издания: | 16.01.2025 |
| Дата введения: | 01.02.2025 |
| Нормативные ссылки: | ГОСТ Р 59799; ГОСТ Р 70988; ГОСТ Р 70992; ГОСТ Р 71808; ГОСТ Р 71809; ГОСТ Р 71810 |
| Область применения: | Настоящий стандарт является руководством по применению основных нормативных положений, определяющих сопоставление нескольких отображений, поддерживающих реализацию конкретных приложений. Настоящий стандарт предназначен для управления процессом создания умных производств в цифровой промышленности |
|
| Расположен в: |
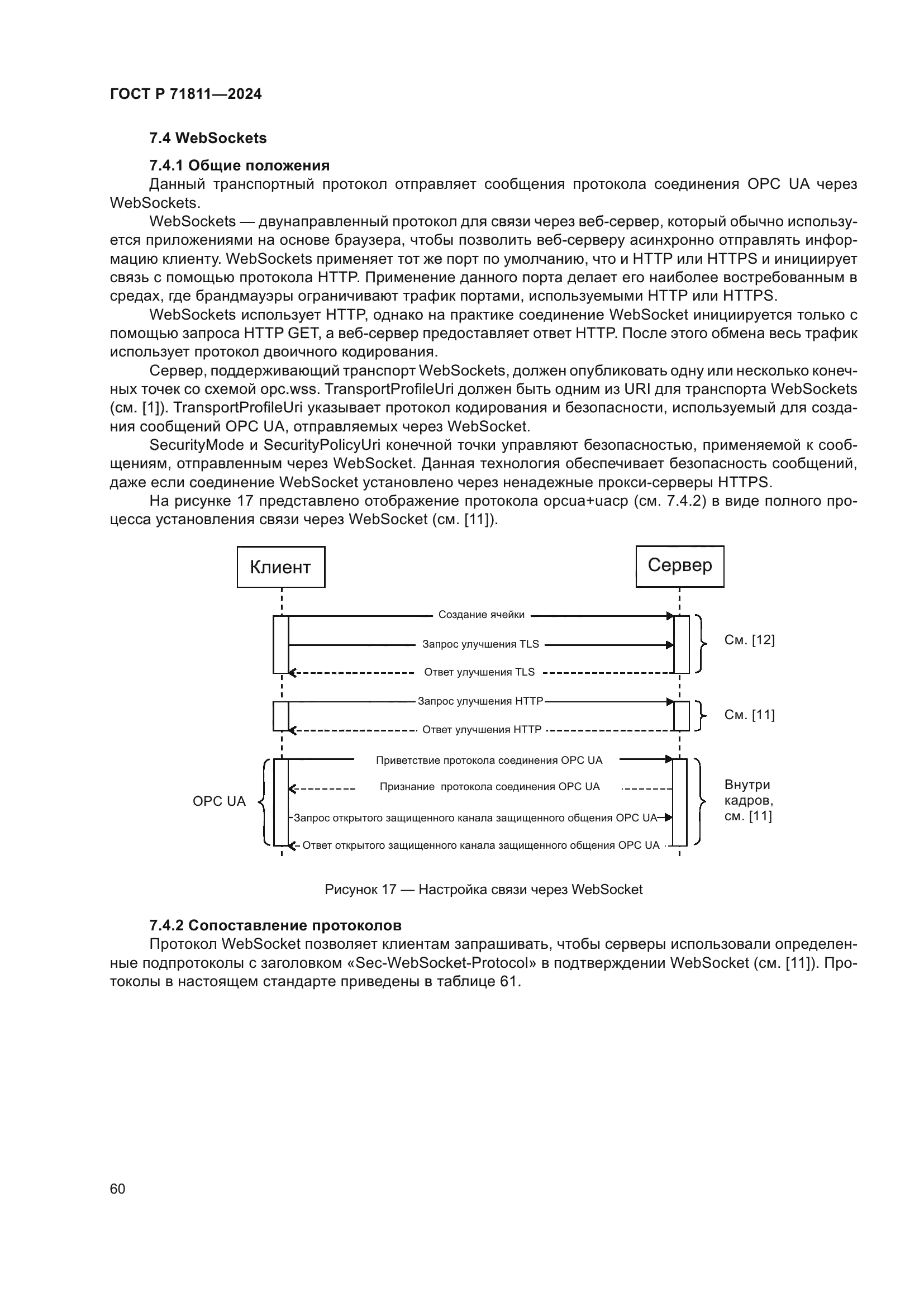
|