| Обозначение: |  ГОСТ Р 42.3.03-2024 |
| Статус: | действует |
| Название рус.: | Гражданская оборона. Технические средства оповещения населения. Методы испытаний |
| Название англ.: | Civil defense. Technical means of public notification. Test methods |
| Дата актуализации текста: | 01.06.2025 |
| Дата актуализации описания: | 01.06.2025 |
| Дата издания: | 22.01.2025 |
| Дата введения: | 01.05.2025 |
| Взамен: | ГОСТ Р 42.3.03-2015 |
| Нормативные ссылки: | ГОСТ 14192-96; ГОСТ 14254; ГОСТ 15150; ГОСТ 16600; ГОСТ 28201; ГОСТ 30630.1.2; ГОСТ 30630.2.1; ГОСТ Р 2.601; ГОСТ Р 42.3.01; ГОСТ Р 42.3.05-2023; ГОСТ Р 52870; ГОСТ Р 53188.1 |
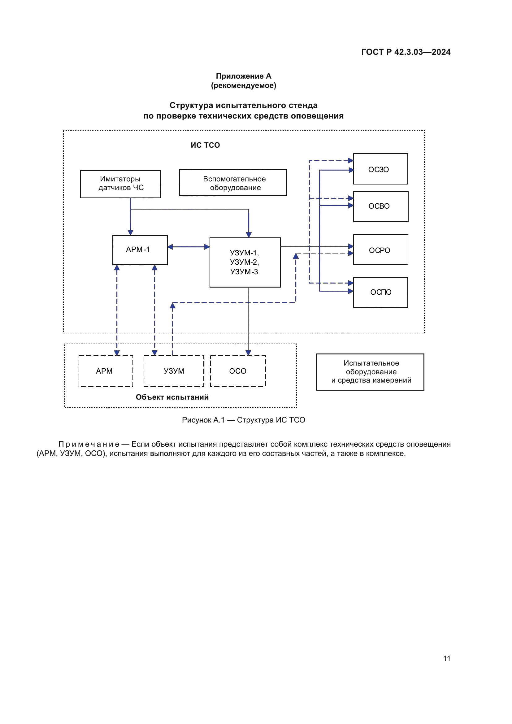
| Область применения: | Настоящий стандарт распространяется на технические средства, предназначенные для оповещения населения об опасностях, возникающих при военных конфликтах или вследствие этих конфликтов, а также при чрезвычайных ситуациях природного и техногенного характера и устанавливает методы их испытаний |
|
| Расположен в: |
|