Информационная система
«Ёшкин Кот»

Государственные стандартыДекларация о соответствии Единый перечень продукции ТС Классификатор государственных стандартов Общероссийский классификатор стандартов Обязательная сертификация Окп Тематические сборники Технические регламенты РФ Технические регламенты Таможенного союзаСтроительная документацияТехническая документация

Найти:
Где:
Отображать:
Упорядочить:

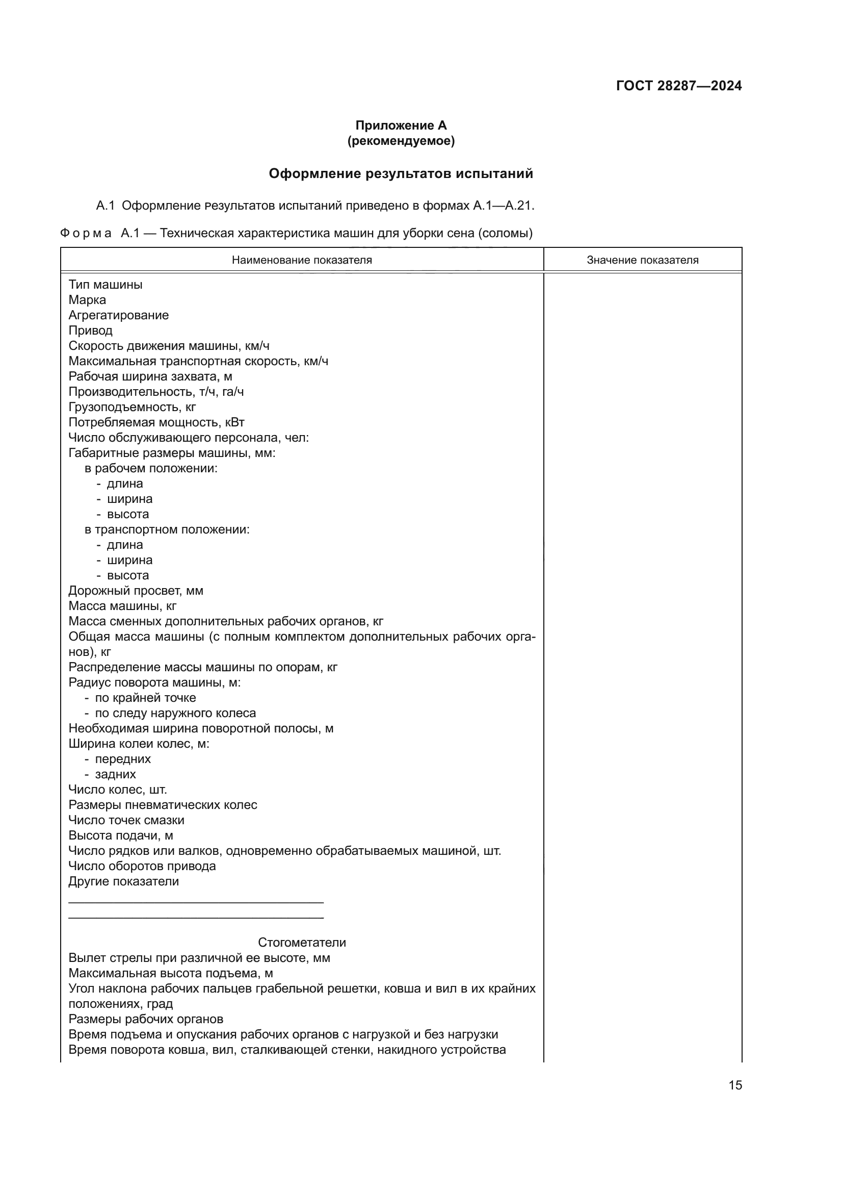
Скачать ГОСТ 28287-2024 Техника сельскохозяйственная. Машины для уборки сена и соломы. Методы испытаний

Дата актуализации: 01.06.2025

ГОСТ 28287-2024

Техника сельскохозяйственная. Машины для уборки сена и соломы. Методы испытаний

Обозначение: ГОСТ 28287-2024
Статус:действует
Название рус.:Техника сельскохозяйственная. Машины для уборки сена и соломы. Методы испытаний
Название англ.:Agricultural machinery. Hay and straw harvesting machines. Test methods
Дата актуализации текста:01.06.2025
Дата актуализации описания:01.06.2025
Дата регистрации:16.12.2024
Дата издания:27.01.2025
Дата введения:01.04.2025
Взамен:ГОСТ 28287-89
Нормативные ссылки:ГОСТ 2.601;ГОСТ 12.1.003;ГОСТ 12.1.004;ГОСТ 12.1.012;ГОСТ 12.2.002;ГОСТ 12.2.019;ГОСТ 12.2.111;ГОСТ 12.2.120;ГОСТ 12.4.026;ГОСТ 15.001;ГОСТ 17.2.2.05;ГОСТ 27.002;ГОСТ 427;ГОСТ 6376;ГОСТ 7502;ГОСТ 13837;ГОСТ 16504;ГОСТ 20915;ГОСТ 21623;ГОСТ 23153;ГОСТ 24055;ГОСТ 25866;ГОСТ 26025;ГОСТ 26026;ГОСТ 26336;ГОСТ 27388;ГОСТ 28305;ГОСТ 28722;ГОСТ 31193;ГОСТ 31319;ГОСТ 32431;ГОСТ 34393;ГОСТ 34631;ГОСТ OIML R 76-1;ГОСТ ISО 4254-1;ГОСТ ISO 4254-11;ГОСТ ISO 9612;ГОСТ ИСО 14269-2;ГОСТ ИСО 14269-5;ГОСТ Р 2.601-2019;ГОСТ Р 15.301-2016;ГОСТ Р 41.96-2011;ГОСТ Р 27.102-2021
Область применения:Настоящий стандарт распространяется на машины для уборки сена (соломы), кроме косилок, (далее – машины) и устанавливает методы их испытаний, условия проведения испытаний и номенклатуру показателей и качества выполнения технологического процесса
Расположен в:Государственные стандарты Общероссийский классификатор стандартов Сельское хозяйство Сельскохозяйственные машины, инвентарь и оборудование
ГОСТ 28287-2024ГОСТ 28287-2024ГОСТ 28287-2024ГОСТ 28287-2024ГОСТ 28287-2024ГОСТ 28287-2024ГОСТ 28287-2024ГОСТ 28287-2024ГОСТ 28287-2024ГОСТ 28287-2024ГОСТ 28287-2024ГОСТ 28287-2024ГОСТ 28287-2024ГОСТ 28287-2024ГОСТ 28287-2024ГОСТ 28287-2024ГОСТ 28287-2024ГОСТ 28287-2024ГОСТ 28287-2024ГОСТ 28287-2024ГОСТ 28287-2024ГОСТ 28287-2024ГОСТ 28287-2024ГОСТ 28287-2024ГОСТ 28287-2024ГОСТ 28287-2024ГОСТ 28287-2024ГОСТ 28287-2024ГОСТ 28287-2024ГОСТ 28287-2024ГОСТ 28287-2024ГОСТ 28287-2024ГОСТ 28287-2024ГОСТ 28287-2024ГОСТ 28287-2024ГОСТ 28287-2024ГОСТ 28287-2024ГОСТ 28287-2024ГОСТ 28287-2024ГОСТ 28287-2024ГОСТ 28287-2024ГОСТ 28287-2024ГОСТ 28287-2024ГОСТ 28287-2024ГОСТ 28287-2024ГОСТ 28287-2024ГОСТ 28287-2024ГОСТ 28287-2024ГОСТ 28287-2024ГОСТ 28287-2024ГОСТ 28287-2024

© 2013 Ёшкин Кот :-) Карта сайта