| Обозначение: |  ГОСТ Р 71921-2024 |
| Статус: | действует |
| Название рус.: | Микросхемы интегральные. Цифро-аналоговые преобразователи. Методы измерения времени установления выходного напряжения (тока) |
| Название англ.: | Integrated circuits. Digital-analog converters. Methods for measuring the time of setting the output voltage (current) |
| Дата актуализации текста: | 01.06.2025 |
| Дата актуализации описания: | 01.06.2025 |
| Дата издания: | 23.01.2025 |
| Дата введения: | 01.03.2025 |
| Нормативные ссылки: | ГОСТ Р 57435; ГОСТ Р 57441; ГОСТ Р 70845; ГОСТ Р 71057 |
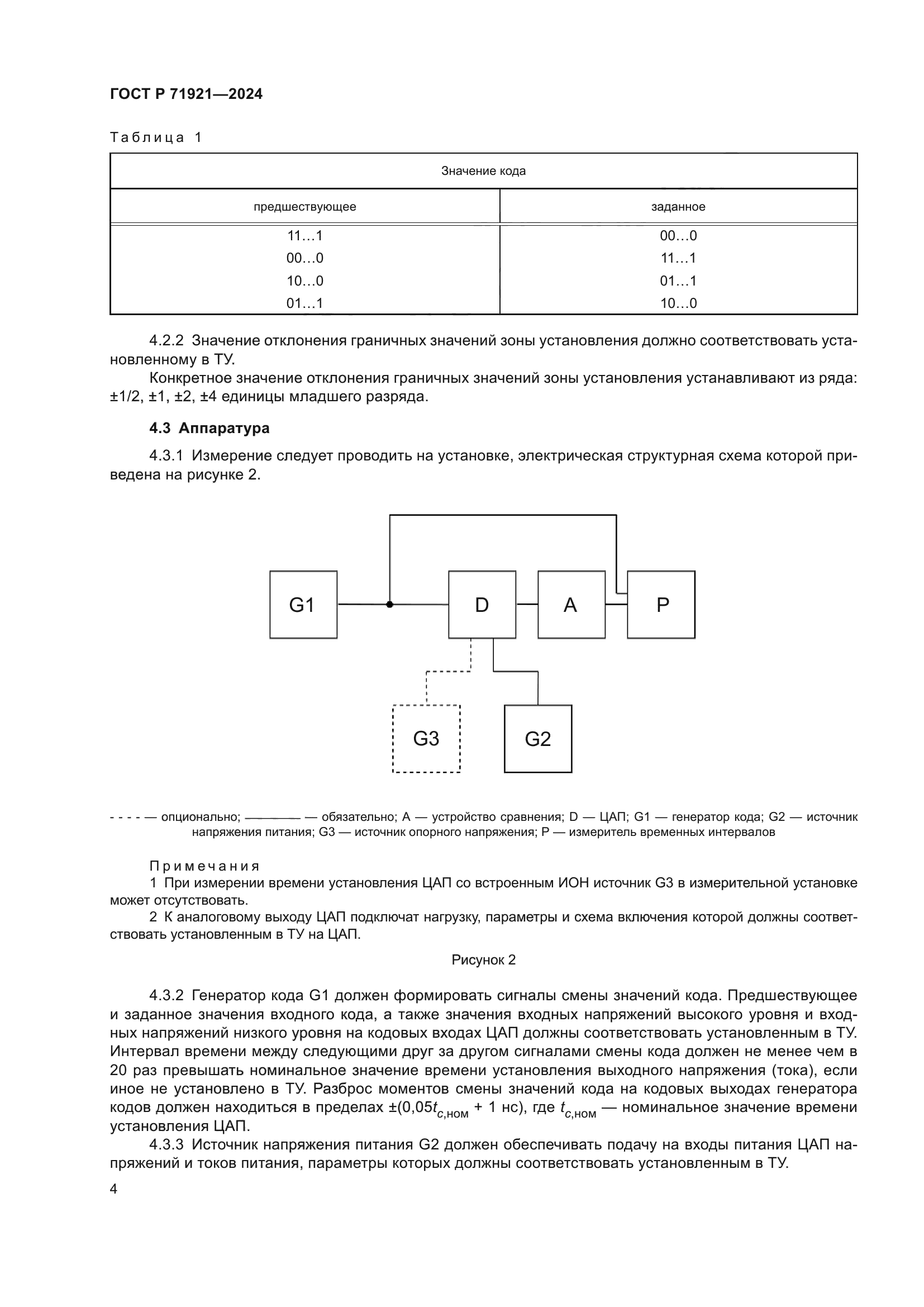
| Область применения: | Настоящий стандарт распространяется на интегральные микросхемы линейных цифро-аналоговых преобразователей цифрового кода в напряжение (ток) с числом эквивалентных двоичных разрядов до 32 включительно и устанавливает методы измерения времени установления. Настоящий стандарт устанавливает два метода измерения времени установления: метод 1 – для цифро-аналоговых преобразователей без внутреннего регистра записи входного кода; метод 2 – для цифро-аналоговых преобразователей с внутренним регистром записи входного кода |
|
| Расположен в: |
|