Информационная система
«Ёшкин Кот»

Государственные стандартыДекларация о соответствии Единый перечень продукции ТС Классификатор государственных стандартов Общероссийский классификатор стандартов Обязательная сертификация Окп Тематические сборники Технические регламенты РФ Технические регламенты Таможенного союзаСтроительная документацияТехническая документация

Найти:
Где:
Отображать:
Упорядочить:

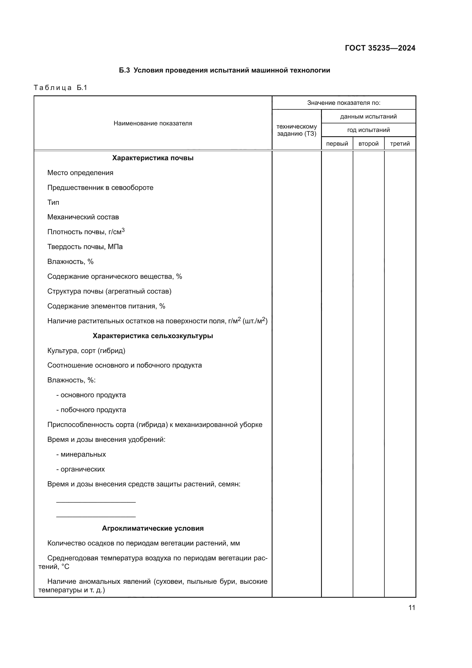
Скачать ГОСТ 35235-2024 Машинные технологии для растениеводства. Методы экономической оценки. Порядок проведения испытаний

Дата актуализации: 01.06.2025

ГОСТ 35235-2024

Машинные технологии для растениеводства. Методы экономической оценки. Порядок проведения испытаний

Обозначение: ГОСТ 35235-2024
Статус:действует
Название рус.:Машинные технологии для растениеводства. Методы экономической оценки. Порядок проведения испытаний
Название англ.:Machine technologies for plant growing. Methods of economic evaluation. The procedure for conducting tests
Дата актуализации текста:01.06.2025
Дата актуализации описания:01.06.2025
Дата регистрации:16.12.2024
Дата издания:23.01.2025
Дата введения:01.04.2025
Нормативные ссылки:ГОСТ 16265;ГОСТ 20915;ГОСТ 24055;ГОСТ 26107;ГОСТ Р 58596-2019;ГОСТ 26213;ГОСТ 26261;ГОСТ 26953;ГОСТ 26954;ГОСТ 26955;ГОСТ 28714;ГОСТ 34363;ГОСТ 34393;ГОСТ Р 58656-2019;ГОСТ Р 58655-2019
Область применения:Настоящий стандарт распространяется на машинные технологии для производства продукции растениеводства и устанавливает порядок проведения испытаний и методы экономической оценки
Расположен в:Государственные стандарты Общероссийский классификатор стандартов Сельское хозяйство Сельскохозяйственные машины, инвентарь и оборудование Сельскохозяйственные машины и оборудование в целом
ГОСТ 35235-2024ГОСТ 35235-2024ГОСТ 35235-2024ГОСТ 35235-2024ГОСТ 35235-2024ГОСТ 35235-2024ГОСТ 35235-2024ГОСТ 35235-2024ГОСТ 35235-2024ГОСТ 35235-2024ГОСТ 35235-2024ГОСТ 35235-2024ГОСТ 35235-2024ГОСТ 35235-2024ГОСТ 35235-2024ГОСТ 35235-2024ГОСТ 35235-2024ГОСТ 35235-2024ГОСТ 35235-2024ГОСТ 35235-2024ГОСТ 35235-2024ГОСТ 35235-2024ГОСТ 35235-2024ГОСТ 35235-2024

© 2013 Ёшкин Кот :-) Карта сайта