| Обозначение: |  ГОСТ Р 70846.18-2024 |
| Статус: | действует |
| Название рус.: | Национальная система пространственных данных. Адресация. Концептуальная модель |
| Название англ.: | National spatial data system. Addressing. Conceptual model |
| Дата актуализации текста: | 01.06.2025 |
| Дата актуализации описания: | 01.06.2025 |
| Дата издания: | 31.01.2025 |
| Дата введения: | 01.02.2025 |
| Содержит требования: | ISO 19160-1:2015 |
| Нормативные ссылки: | ГОСТ Р 7.0.64; ГОСТ Р 57668; ГОСТ Р 70846.2; ГОСТ Р ИСО 15836-2-2022 |
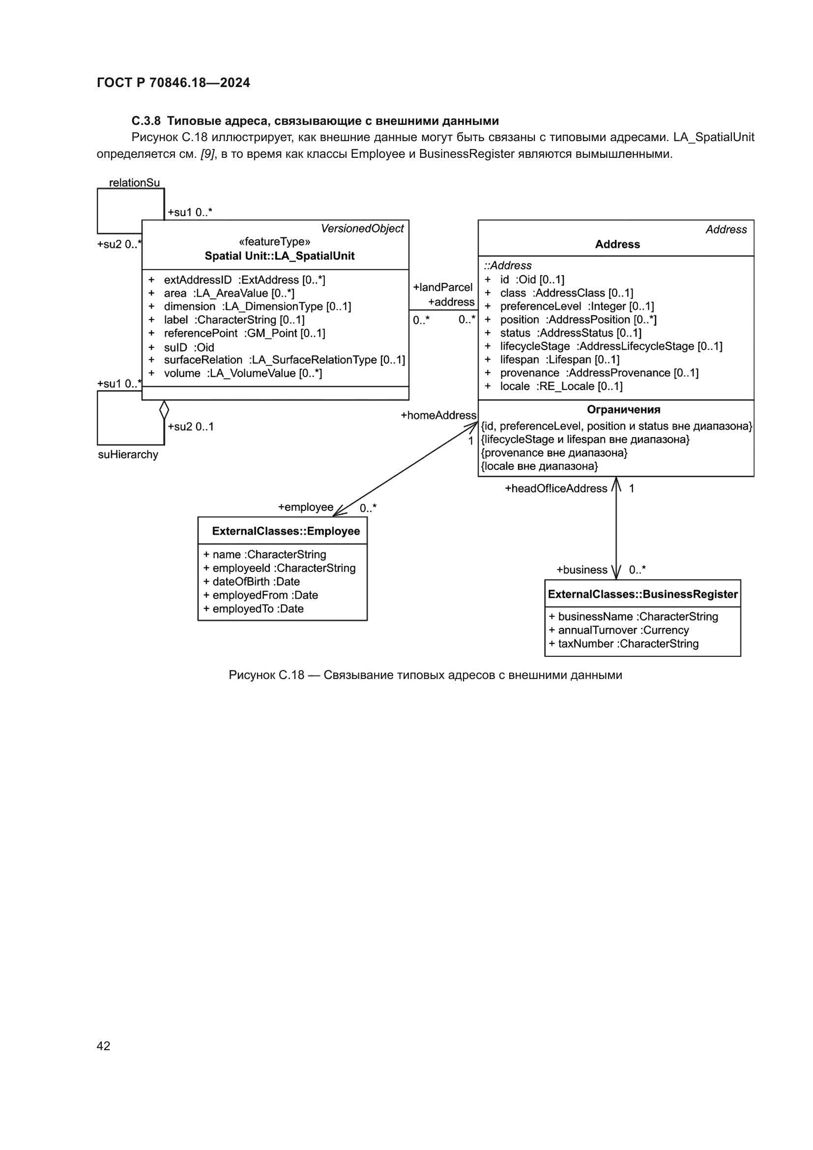
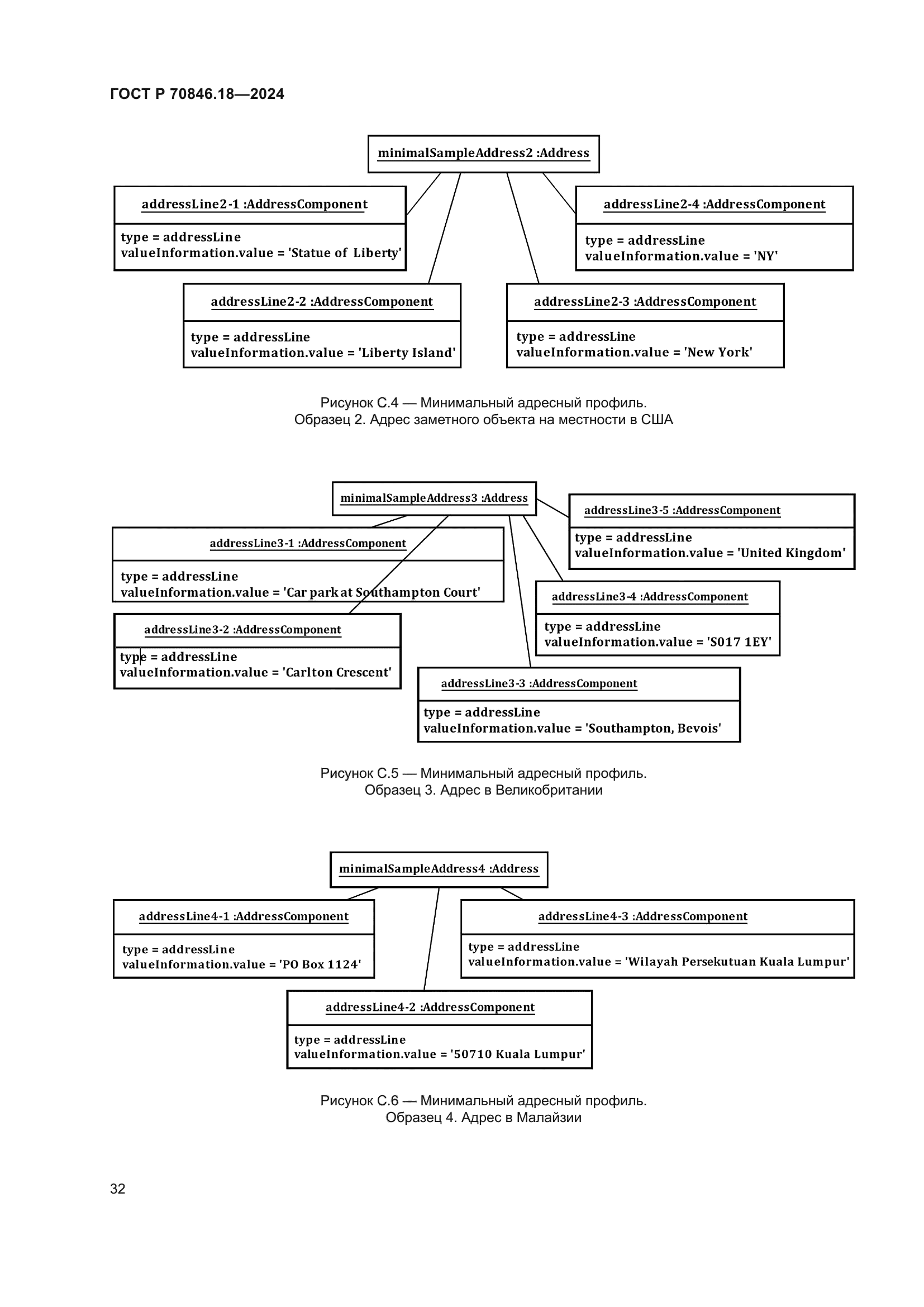
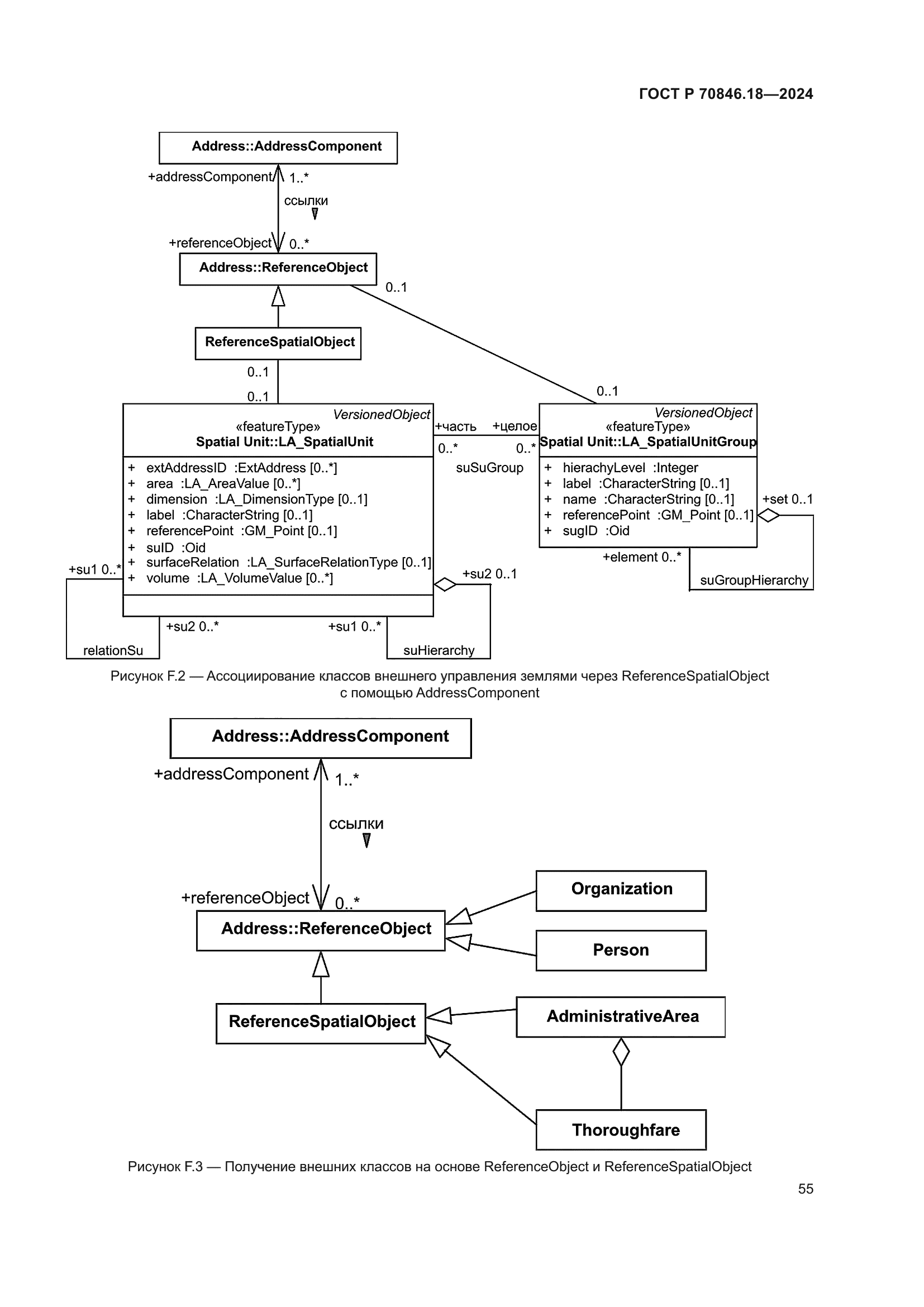
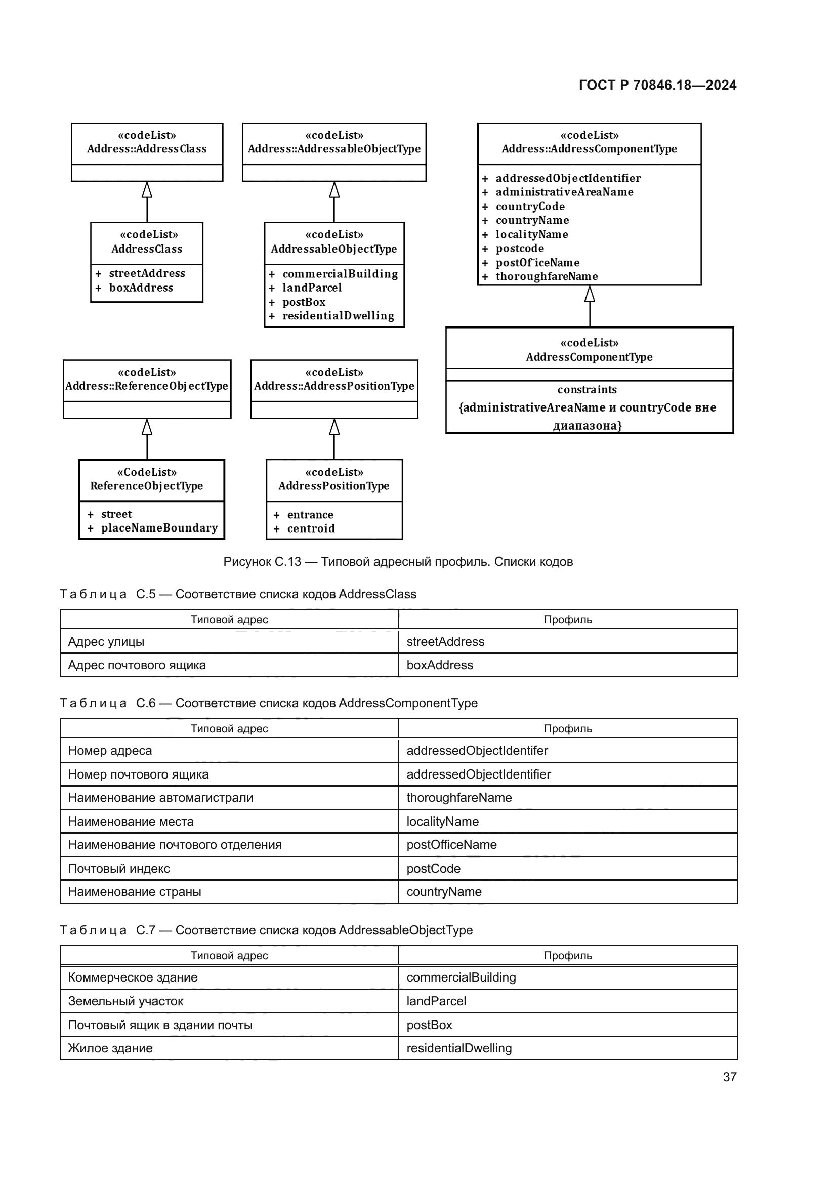
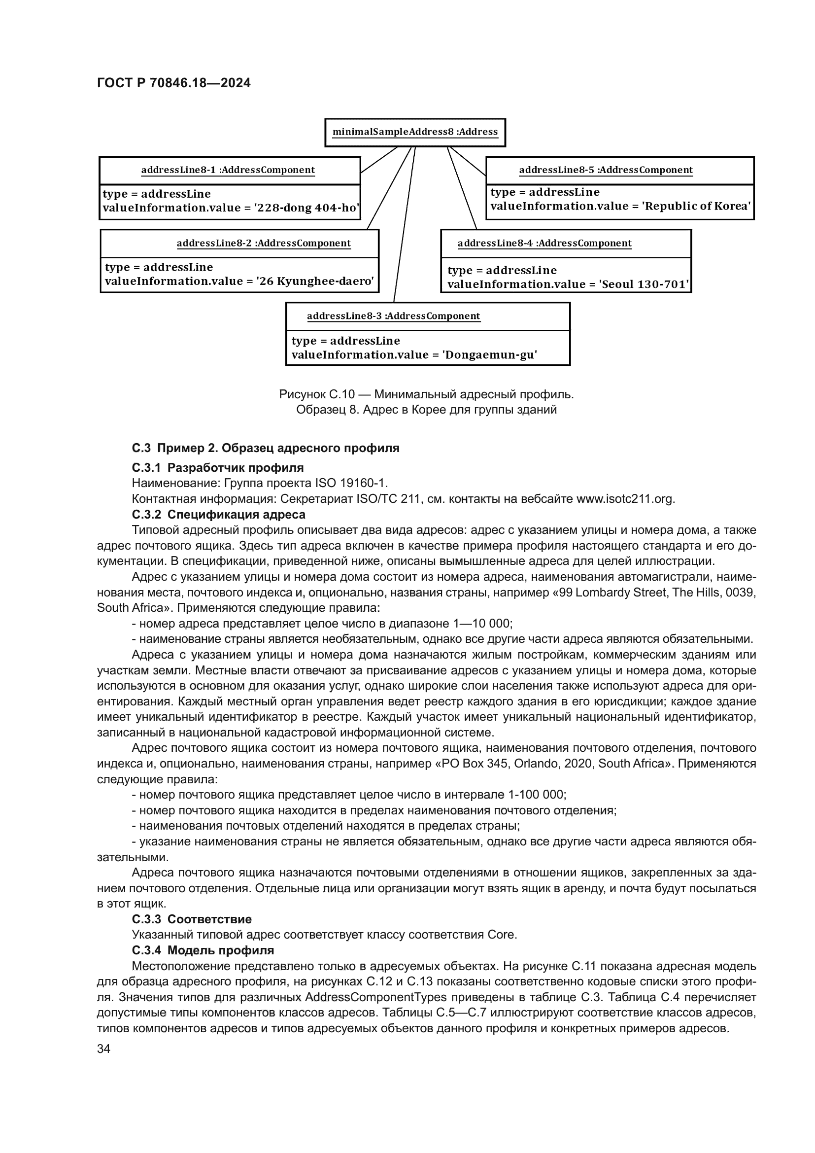
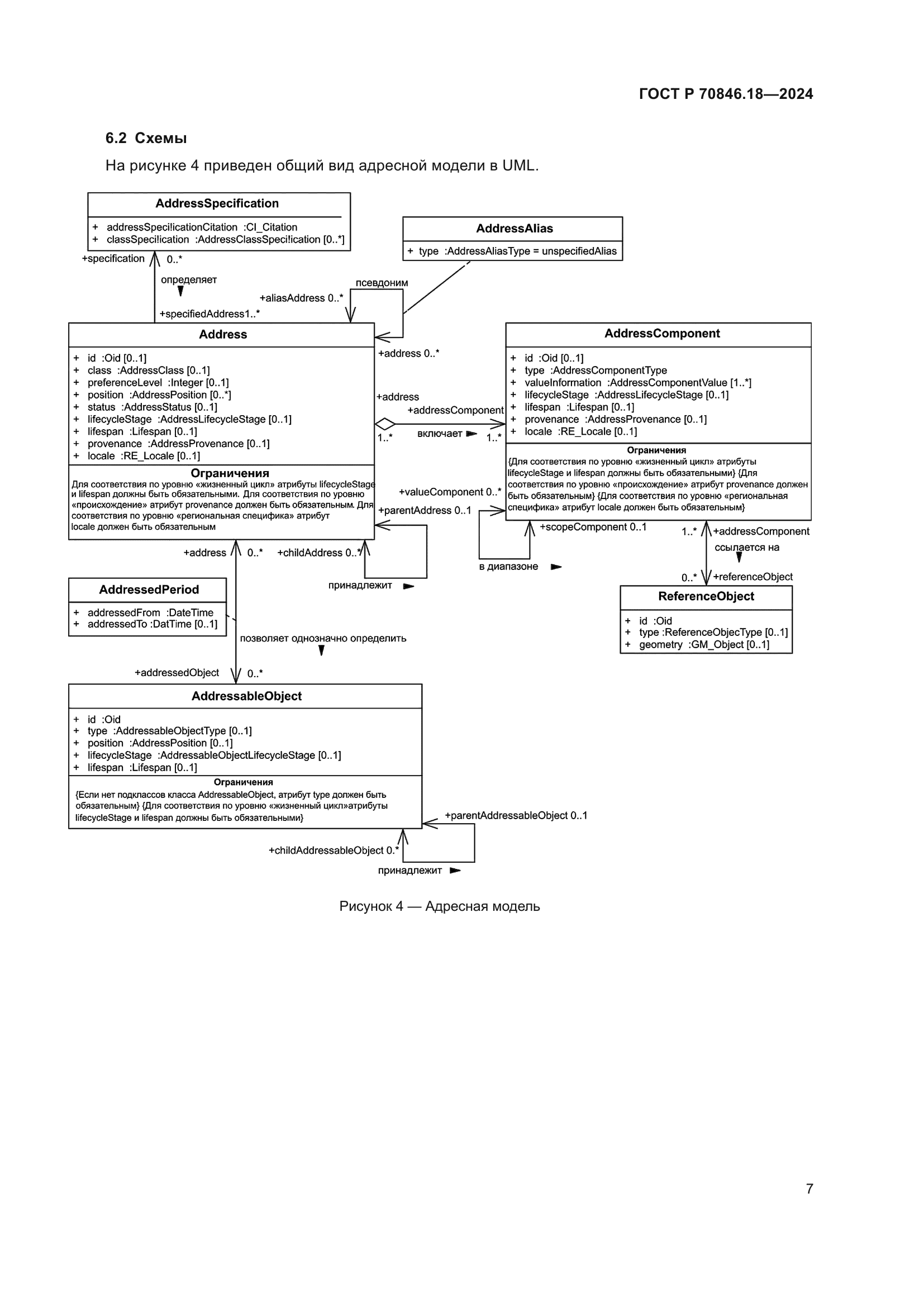
| Область применения: | Настоящий стандарт устанавливает концептуальную модель для адресной информации (адресная модель), а также термины и определения, которые описывают концепции в модели. Модель представлена средствами унифицированного языка моделирования |
|
| Расположен в: |
|