Информационная система
«Ёшкин Кот»

Государственные стандартыДекларация о соответствии Единый перечень продукции ТС Классификатор государственных стандартов Общероссийский классификатор стандартов Обязательная сертификация Окп Тематические сборники Технические регламенты РФ Технические регламенты Таможенного союзаСтроительная документацияТехническая документация

Найти:
Где:
Отображать:
Упорядочить:

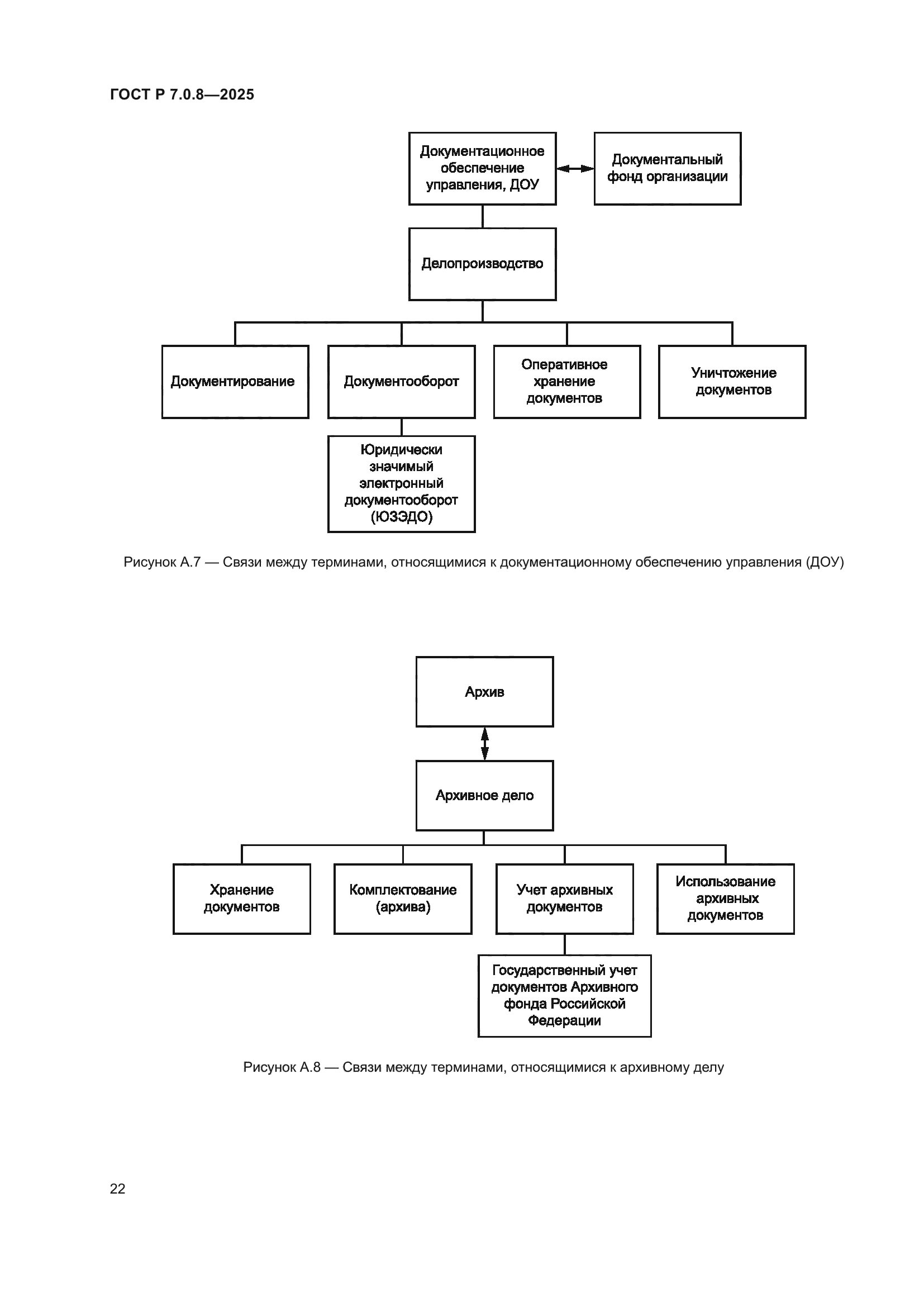
Скачать ГОСТ Р 7.0.8-2025 Система стандартов по информации, библиотечному и издательскому делу. Делопроизводство и архивное дело. Термины и определения

Дата актуализации: 01.06.2025

ГОСТ Р 7.0.8-2025

Система стандартов по информации, библиотечному и издательскому делу. Делопроизводство и архивное дело. Термины и определения

Обозначение: ГОСТ Р 7.0.8-2025
Статус:действует
Название рус.:Система стандартов по информации, библиотечному и издательскому делу. Делопроизводство и архивное дело. Термины и определения
Название англ.:System of standards on information, librarianship and publishing. Recordkeeping and organization of archives. Terms and definitions
Дата актуализации текста:01.06.2025
Дата актуализации описания:01.06.2025
Дата издания:13.02.2025
Дата введения:01.03.2025
Взамен:ГОСТ Р 7.0.8-2013
Нормативные ссылки:ГОСТ Р ИСО 15489-1;ГОСТ Р ИСО 30300;ГОСТ Р 7.0.101;ГОСТ Р ИСО 30302
Область применения:Настоящий стандарт устанавливает термины и определения понятий в области управления документами – сферах делопроизводства и архивного дела. Термины, установленные настоящим стандартом, рекомендуются для применения в работе с документами, относящимся к различным системам документации. Они могут использоваться в методических документах, документах по стандартизации, научных трудах, публикациях и учебных пособиях
Расположен в:Государственные стандарты Общероссийский классификатор стандартов Общие положения. Терминология. Стандартизация. Документация Словари Общие положения. Терминология. Стандартизация. Документация
ГОСТ Р 7.0.8-2025ГОСТ Р 7.0.8-2025ГОСТ Р 7.0.8-2025ГОСТ Р 7.0.8-2025ГОСТ Р 7.0.8-2025ГОСТ Р 7.0.8-2025ГОСТ Р 7.0.8-2025ГОСТ Р 7.0.8-2025ГОСТ Р 7.0.8-2025ГОСТ Р 7.0.8-2025ГОСТ Р 7.0.8-2025ГОСТ Р 7.0.8-2025ГОСТ Р 7.0.8-2025ГОСТ Р 7.0.8-2025ГОСТ Р 7.0.8-2025ГОСТ Р 7.0.8-2025ГОСТ Р 7.0.8-2025ГОСТ Р 7.0.8-2025ГОСТ Р 7.0.8-2025ГОСТ Р 7.0.8-2025ГОСТ Р 7.0.8-2025ГОСТ Р 7.0.8-2025ГОСТ Р 7.0.8-2025ГОСТ Р 7.0.8-2025ГОСТ Р 7.0.8-2025ГОСТ Р 7.0.8-2025ГОСТ Р 7.0.8-2025ГОСТ Р 7.0.8-2025

© 2013 Ёшкин Кот :-) Карта сайта