Информационная система
«Ёшкин Кот»

Государственные стандартыДекларация о соответствии Единый перечень продукции ТС Классификатор государственных стандартов Общероссийский классификатор стандартов Обязательная сертификация Окп Тематические сборники Технические регламенты РФ Технические регламенты Таможенного союзаСтроительная документацияТехническая документация

Найти:
Где:
Отображать:
Упорядочить:

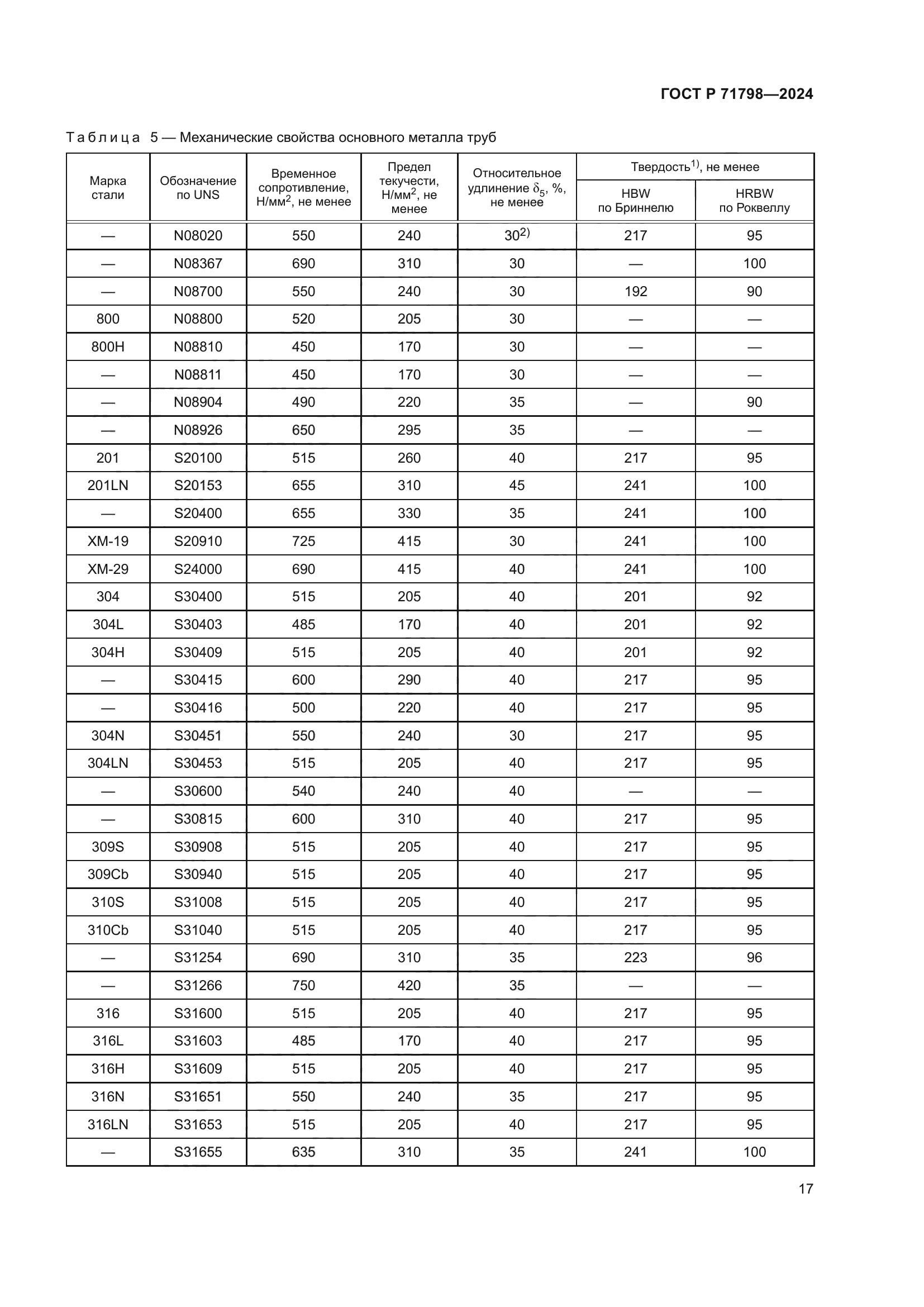
Скачать ГОСТ Р 71798-2024 Трубы из аустенитной хромоникелевой нержавеющей стали, сваренные электросваркой плавлением, для эксплуатации при высоких температурах, общего применения. Технические условия

Дата актуализации: 01.06.2025

ГОСТ Р 71798-2024

Трубы из аустенитной хромоникелевой нержавеющей стали, сваренные электросваркой плавлением, для эксплуатации при высоких температурах, общего применения. Технические условия

Обозначение: ГОСТ Р 71798-2024
Статус:принят
Название рус.:Трубы из аустенитной хромоникелевой нержавеющей стали, сваренные электросваркой плавлением, для эксплуатации при высоких температурах, общего применения. Технические условия
Название англ.:Pipes of austenitic chromium-nickel stainless steel, welded by electric fusion welding, for high temperature service and general applications. Specification
Дата актуализации текста:01.06.2025
Дата актуализации описания:01.06.2025
Дата издания:26.02.2025
Дата введения:01.09.2025
Нормативные ссылки:ГОСТ 577;ГОСТ 1497;ГОСТ 2246;ГОСТ 3845;ГОСТ 6032-2017;ГОСТ 6507;ГОСТ 6996;ГОСТ 7512;ГОСТ 7565;ГОСТ 9012;ГОСТ 9013;ГОСТ 10692;ГОСТ 16504;ГОСТ 28548;ГОСТ 30432;ГОСТ 31458;ГОСТ 33439;ГОСТ 34094;ГОСТ ISO 10893-4;ГОСТ ISO 10893-6;ГОСТ ISO 10893-7;ГОСТ Р 54153;ГОСТ Р 58904;ГОСТ Р 58905;ГОСТ Р 70737;ГОСТ Р ИСО 14284
Область применения:Настоящий стандарт распространяется на трубы из аустенитной хромоникелевой нержавеющей стали, сваренные электросваркой плавлением, предназначенные для эксплуатации: - в коррозионно-активных средах; - при повышенных температурах; - при комбинации указанных сред/температур; - для общего применения
Расположен в:Государственные стандарты Общероссийский классификатор стандартов Гидравлические и пневматические системы и компоненты общего назначения Трубопроводы и их компоненты
ГОСТ Р 71798-2024ГОСТ Р 71798-2024ГОСТ Р 71798-2024ГОСТ Р 71798-2024ГОСТ Р 71798-2024ГОСТ Р 71798-2024ГОСТ Р 71798-2024ГОСТ Р 71798-2024ГОСТ Р 71798-2024ГОСТ Р 71798-2024ГОСТ Р 71798-2024ГОСТ Р 71798-2024ГОСТ Р 71798-2024ГОСТ Р 71798-2024ГОСТ Р 71798-2024ГОСТ Р 71798-2024ГОСТ Р 71798-2024ГОСТ Р 71798-2024ГОСТ Р 71798-2024ГОСТ Р 71798-2024ГОСТ Р 71798-2024ГОСТ Р 71798-2024ГОСТ Р 71798-2024ГОСТ Р 71798-2024ГОСТ Р 71798-2024ГОСТ Р 71798-2024ГОСТ Р 71798-2024ГОСТ Р 71798-2024

© 2013 Ёшкин Кот :-) Карта сайта