Информационная система
«Ёшкин Кот»

Государственные стандартыДекларация о соответствии Единый перечень продукции ТС Классификатор государственных стандартов Общероссийский классификатор стандартов Обязательная сертификация Окп Тематические сборники Технические регламенты РФ Технические регламенты Таможенного союзаСтроительная документацияТехническая документация

Найти:
Где:
Отображать:
Упорядочить:

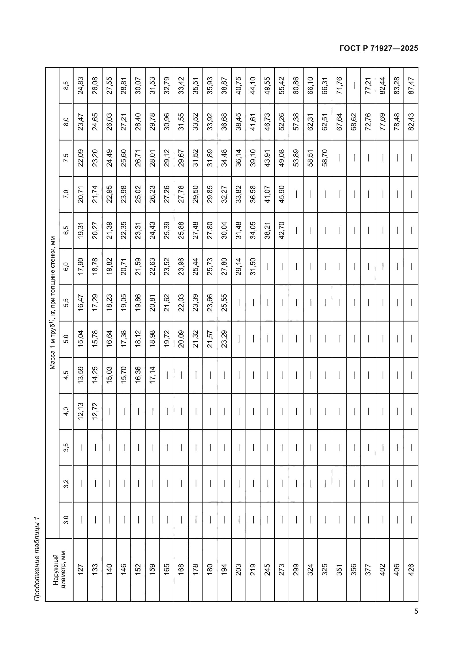
Скачать ГОСТ Р 71927-2025 Трубы стальные бесшовные для транспортирования газообразного водорода. Технические условия

Дата актуализации: 01.06.2025

ГОСТ Р 71927-2025

Трубы стальные бесшовные для транспортирования газообразного водорода. Технические условия

Обозначение: ГОСТ Р 71927-2025
Статус:принят
Название рус.:Трубы стальные бесшовные для транспортирования газообразного водорода. Технические условия
Название англ.:Seamless steel pipes for transportation of hydrogen gas. Technical specifications
Дата актуализации текста:01.06.2025
Дата актуализации описания:01.06.2025
Дата издания:27.02.2025
Дата введения:01.06.2025
Нормативные ссылки:ГОСТ 166;ГОСТ 427;ГОСТ 1497;ГОСТ 1778-2022;ГОСТ 2216;ГОСТ 2999;ГОСТ 3728;ГОСТ 3845;ГОСТ 4543-2016;ГОСТ 5639;ГОСТ 6507;ГОСТ 7502;ГОСТ 7565;ГОСТ 8026;ГОСТ 8695;ГОСТ 9454;ГОСТ 10006;ГОСТ 10243;ГОСТ 10692;ГОСТ 11358;ГОСТ 16504;ГОСТ 18360;ГОСТ 18365;ГОСТ 28548;ГОСТ 30432;ГОСТ 31458;ГОСТ 33439;ГОСТ 34094;ГОСТ ISO 10893-3;ГОСТ ISO 10893-5;ГОСТ ISO 10893-8;ГОСТ ISO 10893-10;ГОСТ ISO 10893-12;СТ СЭВ 543
Область применения:Настоящий стандарт распространяется на бесшовные горячедеформированные и холоднодеформированные трубы из нелегированных и легированных сталей для транспортирования газообразного водорода, в т.ч. в составе смесей с природным газом при температуре эксплуатации от минус 45 °С до 200 °С, применяемые для наземной и подземной прокладки: межзаводских трубопроводов, технологических трубопроводов и трубопроводов распределительных сетей
Расположен в:Государственные стандарты Общероссийский классификатор стандартов Гидравлические и пневматические системы и компоненты общего назначения Трубопроводы и их компоненты Чугунные и стальные трубы
ГОСТ Р 71927-2025ГОСТ Р 71927-2025ГОСТ Р 71927-2025ГОСТ Р 71927-2025ГОСТ Р 71927-2025ГОСТ Р 71927-2025ГОСТ Р 71927-2025ГОСТ Р 71927-2025ГОСТ Р 71927-2025ГОСТ Р 71927-2025ГОСТ Р 71927-2025ГОСТ Р 71927-2025ГОСТ Р 71927-2025ГОСТ Р 71927-2025ГОСТ Р 71927-2025ГОСТ Р 71927-2025ГОСТ Р 71927-2025ГОСТ Р 71927-2025ГОСТ Р 71927-2025ГОСТ Р 71927-2025ГОСТ Р 71927-2025ГОСТ Р 71927-2025ГОСТ Р 71927-2025ГОСТ Р 71927-2025ГОСТ Р 71927-2025ГОСТ Р 71927-2025ГОСТ Р 71927-2025ГОСТ Р 71927-2025ГОСТ Р 71927-2025ГОСТ Р 71927-2025ГОСТ Р 71927-2025ГОСТ Р 71927-2025

© 2013 Ёшкин Кот :-) Карта сайта