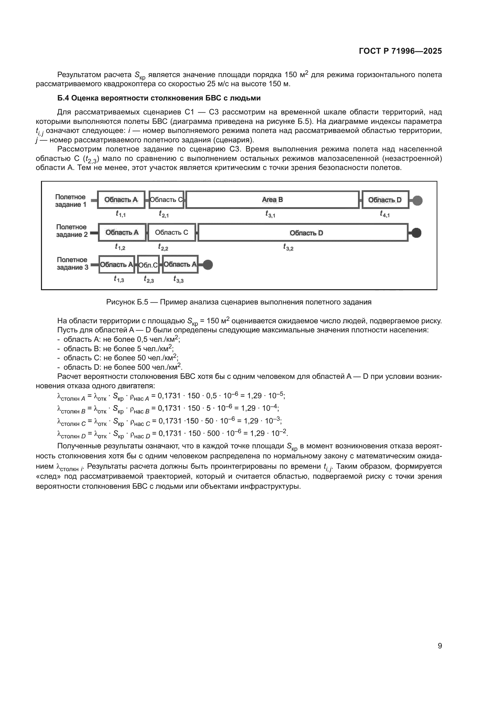
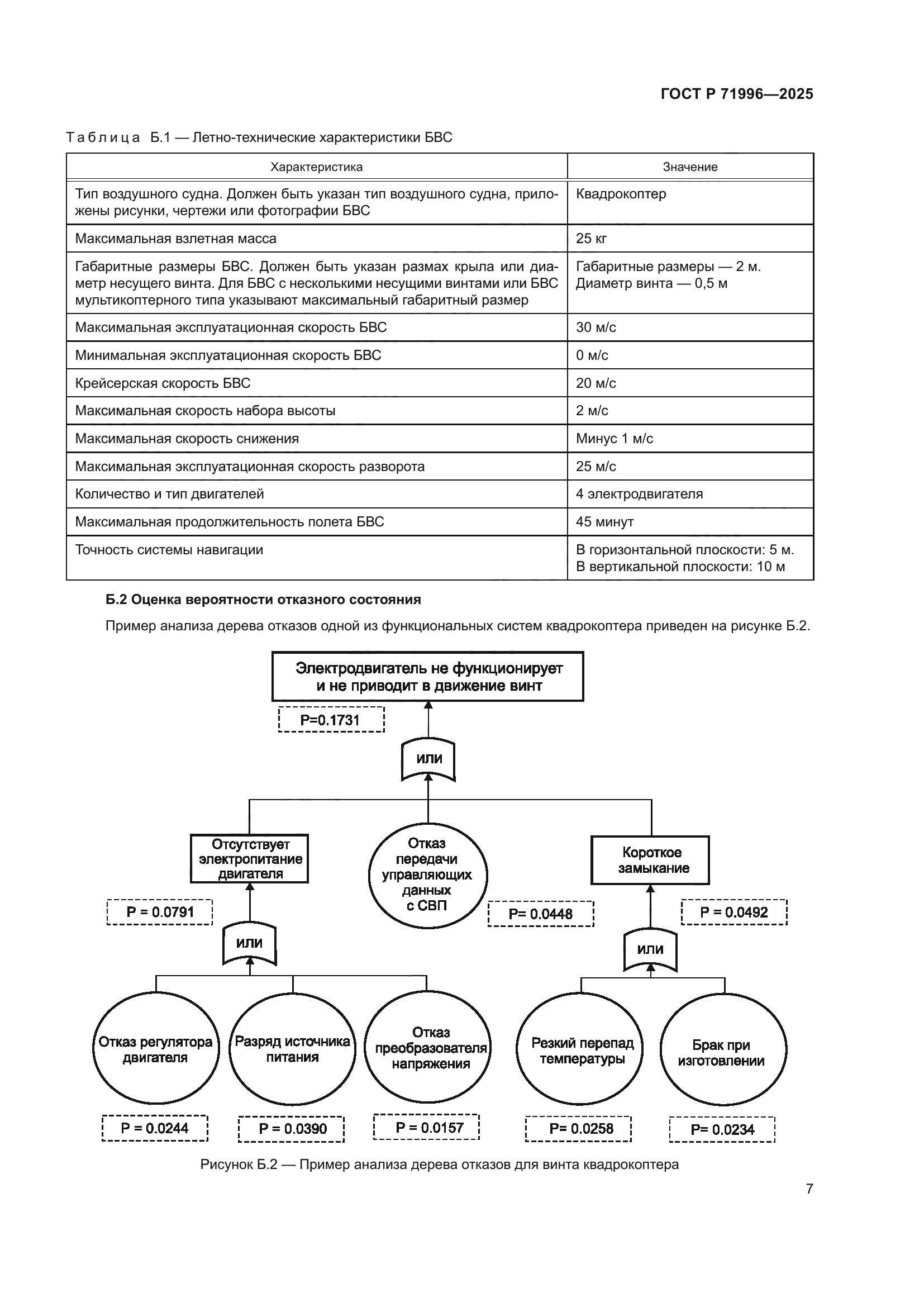
| Обозначение: |  ГОСТ Р 71996-2025 |
| Статус: | действует |
| Название рус.: | Беспилотные авиационные системы. Оценка рисков, связанных с эксплуатацией беспилотных авиационных систем специальной категории. Общие требования к проведению |
| Название англ.: | Unmanned aircraft systems. Special category UAS operational risk assessment. General requirements |
| Дата актуализации текста: | 01.06.2025 |
| Дата актуализации описания: | 01.06.2025 |
| Дата издания: | 24.03.2025 |
| Дата введения: | 01.04.2025 |
| Нормативные ссылки: | ГОСТ 24728; ГОСТ Р 27.102; ГОСТ Р 51897; ГОСТ Р 57258; ГОСТ Р 58771; ГОСТ Р 59517; ГОСТ Р 59751; ГОСТ Р ИСО 3534-1 |
| Область применения: | Настоящий стандарт определяет общие требования к проведению оценки рисков, связанных с эксплуатацией беспилотных авиационных систем, относящихся к специальной категории по ГОСТ 59517. Данные требования должны рассматриваться как общие для всех типов полетных заданий гражданских беспилотных воздушных судов и могут использоваться в качестве основы при формировании разработчиками или эксплуатантами беспилотных авиационных систем доказательной документации по обеспечению безопасности полетов беспилотных воздушных судов |
|
| Расположен в: |
|