Информационная система
«Ёшкин Кот»

Государственные стандартыДекларация о соответствии Единый перечень продукции ТС Классификатор государственных стандартов Общероссийский классификатор стандартов Обязательная сертификация Окп Тематические сборники Технические регламенты РФ Технические регламенты Таможенного союзаСтроительная документацияТехническая документация

Найти:
Где:
Отображать:
Упорядочить:

Скачать ГОСТ Р ИСО 15614-13-2025 Технические требования и аттестация процедур сварки металлических материалов. Проверка процедуры сварки. Часть 13. Контактная стыковая сварка сопротивлением и оплавлением

Дата актуализации: 01.06.2025

ГОСТ Р ИСО 15614-13-2025

Технические требования и аттестация процедур сварки металлических материалов. Проверка процедуры сварки. Часть 13. Контактная стыковая сварка сопротивлением и оплавлением

Обозначение: ГОСТ Р ИСО 15614-13-2025
Статус:действует
Название рус.:Технические требования и аттестация процедур сварки металлических материалов. Проверка процедуры сварки. Часть 13. Контактная стыковая сварка сопротивлением и оплавлением
Название англ.:Specification and qualification of welding procedures for metallic materials. Welding procedure test. Part 13. Upset (resistance butt) and flash welding
Дата актуализации текста:01.06.2025
Дата актуализации описания:01.06.2025
Дата издания:07.04.2025
Дата введения:01.05.2025
Взамен:ГОСТ Р ИСО 15614-13-2009
Аутентичен стандартам:ISO 15614-13:2023
Нормативные ссылки:ISO 4136;ISO 669;ISO 5173;ISO 6520-2;ISO 6892-1;ISO 9015-2;ISO 11666;ISO 14732;ISO 15607:2019;ISO 15609-5;ISO 15620:2019;ISO 17639;ISO 17640;ISO 23277;ISO 23279
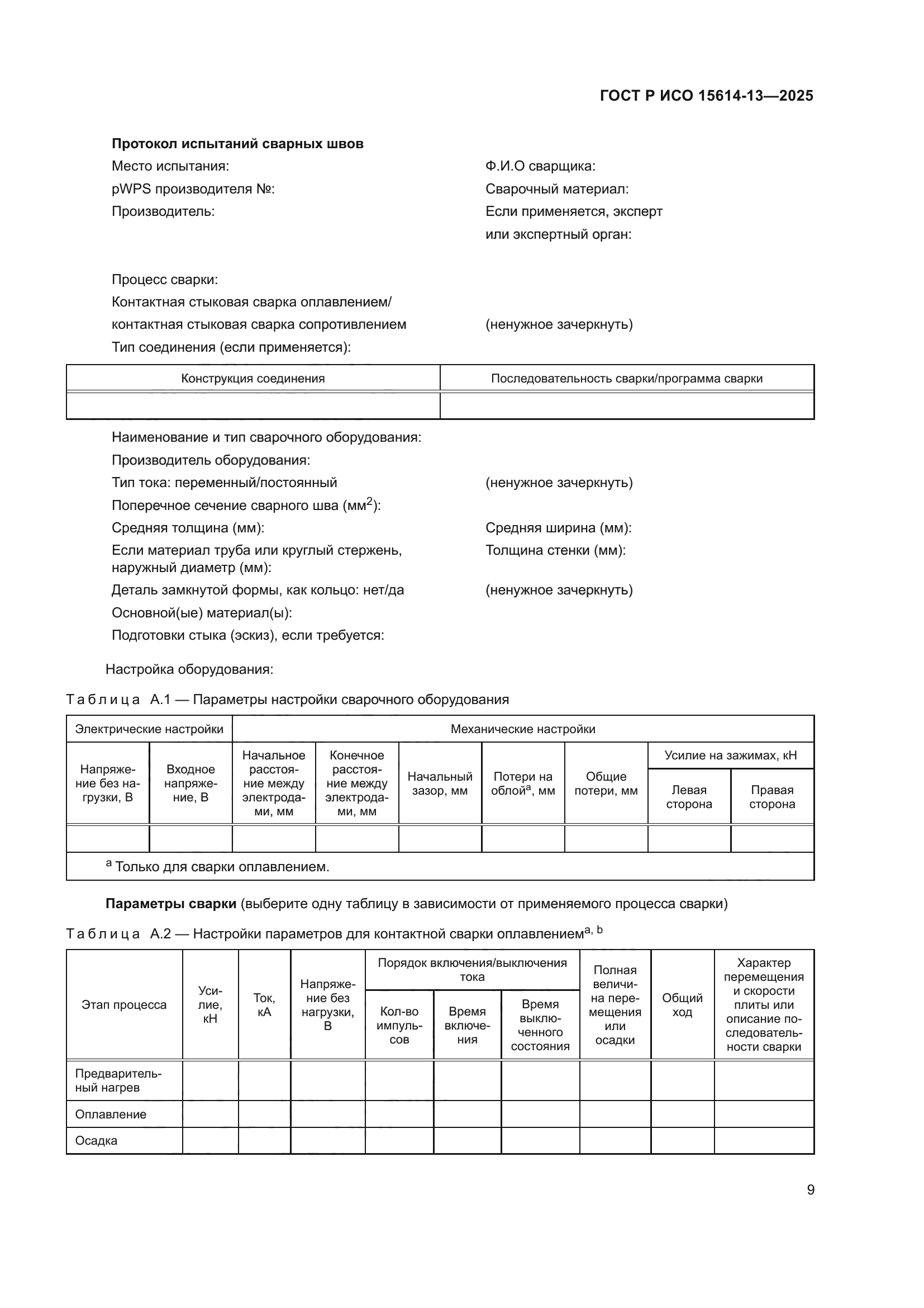
Область применения:Настоящий стандарт устанавливает проверку процедуры сварки для аттестации предварительных технических требований к сварке (pWPS). Настоящий стандарт определяет условия проведения испытаний и область аттестации процедуры сварки для всех практических операций сварки настоящего стандарта. В целях применения для широкого диапазона сварных конструкций приведены два класса проверки процедуры сварки. Классы обозначены A и B. В классе A объем испытаний больше, по сравнению с классом B, а области аттестации ограничены. Проверку процедуры для класса A распространяют на требования класса B, но не наоборот. Если в контракте или применяемом стандарте класс не указан, то применяют все требования класса A. Настоящий стандарт применяется к контактной стыковой сварке оплавлением любых металлических материалов для всех форм изделий (например, со сплошным, трубчатым, плоским или круглым поперечным сечением). Он включает следующие процессы контактной сварки в соответствии с ИСО 4063:2023: - 24 — сварка контактная оплавлением, с использованием постоянного или переменного тока с различными схемами движения, непрерывное или импульсное оплавление; - 25 — сварка контактная стыковая сопротивлением, с использованием постоянного или переменного тока с различными последовательностями включения тока и приложения давления
Расположен в:Государственные стандарты Общероссийский классификатор стандартов Машиностроение Сварка, пайка твердым и мягким припоем Процессы сварки
ГОСТ Р ИСО 15614-13-2025ГОСТ Р ИСО 15614-13-2025ГОСТ Р ИСО 15614-13-2025ГОСТ Р ИСО 15614-13-2025ГОСТ Р ИСО 15614-13-2025ГОСТ Р ИСО 15614-13-2025ГОСТ Р ИСО 15614-13-2025ГОСТ Р ИСО 15614-13-2025ГОСТ Р ИСО 15614-13-2025ГОСТ Р ИСО 15614-13-2025ГОСТ Р ИСО 15614-13-2025ГОСТ Р ИСО 15614-13-2025ГОСТ Р ИСО 15614-13-2025ГОСТ Р ИСО 15614-13-2025ГОСТ Р ИСО 15614-13-2025ГОСТ Р ИСО 15614-13-2025ГОСТ Р ИСО 15614-13-2025ГОСТ Р ИСО 15614-13-2025ГОСТ Р ИСО 15614-13-2025ГОСТ Р ИСО 15614-13-2025

© 2013 Ёшкин Кот :-) Карта сайта