Информационная система
«Ёшкин Кот»

Государственные стандартыДекларация о соответствии Единый перечень продукции ТС Классификатор государственных стандартов Общероссийский классификатор стандартов Обязательная сертификация Окп Тематические сборники Технические регламенты РФ Технические регламенты Таможенного союзаСтроительная документацияТехническая документация

Найти:
Где:
Отображать:
Упорядочить:

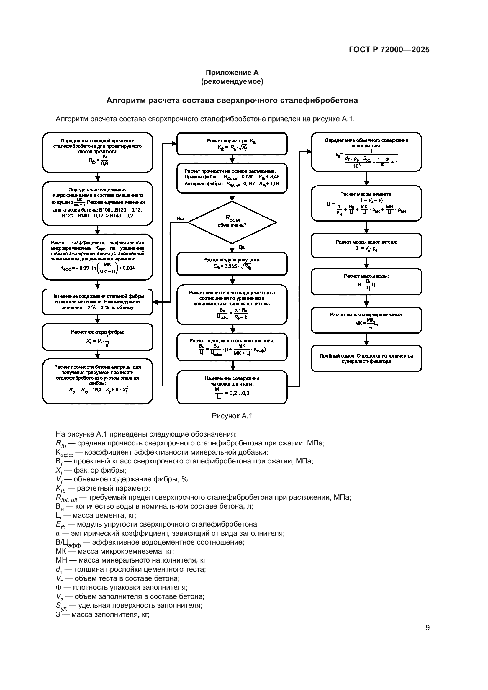
Скачать ГОСТ Р 72000-2025 Дороги автомобильные общего пользования. Фибробетон сверхпрочный со стальной фиброй для мостовых конструкций. Технические условия

Дата актуализации: 01.06.2025

ГОСТ Р 72000-2025

Дороги автомобильные общего пользования. Фибробетон сверхпрочный со стальной фиброй для мостовых конструкций. Технические условия

Обозначение: ГОСТ Р 72000-2025
Статус:действует
Название рус.:Дороги автомобильные общего пользования. Фибробетон сверхпрочный со стальной фиброй для мостовых конструкций. Технические условия
Название англ.:Automobile roads of general use. Ultra-high performance fiber reinforced concrete for bridge structures. Specifications
Дата актуализации текста:01.06.2025
Дата актуализации описания:01.06.2025
Дата издания:04.04.2025
Дата введения:01.05.2025
Нормативные ссылки:ГОСТ 4.212;ГОСТ 8.610;ГОСТ 7473;ГОСТ 10060;ГОСТ 10180;ГОСТ 10181;ГОСТ 12730.1;ГОСТ 12730.5;ГОСТ 13015;ГОСТ 13087;ГОСТ 18105-2018;ГОСТ 24316;ГОСТ 24452;ГОСТ 24544;ГОСТ 24545;ГОСТ 25192;ГОСТ 26633;ГОСТ 27006;ГОСТ 27751;ГОСТ 28570;ГОСТ 30108;ГОСТ 31108;ГОСТ 31384;ГОСТ 31914;ГОСТ 33174;ГОСТ Р 55224;ГОСТ Р 59535-2021;ГОСТ Р 59714;ГОСТ Р 59715;ГОСТ Р ИСО 12491-2011
Область применения:Настоящий стандарт распространяется на сверхпрочные бетоны на цементных вяжущих и плотных заполнителях, дисперсно-армированные стальной фиброй классов по прочности на сжатие от Вf120 до Вf180 (далее – сверхпрочные сталефибробетоны), применяемые для проектирования, строительства, реконструкции, капитального ремонта и ремонта искусственных дорожных мостовых сооружений и конструкций, со сроком эксплуатации не менее 100 лет по ГОСТ 27751
Расположен в:Государственные стандарты Общероссийский классификатор стандартов Гражданское строительство Строительство дорог Дорожно-строительные материалы
ГОСТ Р 72000-2025ГОСТ Р 72000-2025ГОСТ Р 72000-2025ГОСТ Р 72000-2025ГОСТ Р 72000-2025ГОСТ Р 72000-2025ГОСТ Р 72000-2025ГОСТ Р 72000-2025ГОСТ Р 72000-2025ГОСТ Р 72000-2025ГОСТ Р 72000-2025ГОСТ Р 72000-2025ГОСТ Р 72000-2025ГОСТ Р 72000-2025ГОСТ Р 72000-2025ГОСТ Р 72000-2025ГОСТ Р 72000-2025ГОСТ Р 72000-2025ГОСТ Р 72000-2025ГОСТ Р 72000-2025ГОСТ Р 72000-2025ГОСТ Р 72000-2025ГОСТ Р 72000-2025ГОСТ Р 72000-2025

© 2013 Ёшкин Кот :-) Карта сайта