Информационная система
«Ёшкин Кот»

Государственные стандартыДекларация о соответствии Единый перечень продукции ТС Классификатор государственных стандартов Общероссийский классификатор стандартов Обязательная сертификация Окп Тематические сборники Технические регламенты РФ Технические регламенты Таможенного союзаСтроительная документацияТехническая документация

Найти:
Где:
Отображать:
Упорядочить:

Скачать ГОСТ Р ИСО 22442-1-2025 Изделия медицинские, использующие ткани и их производные животного происхождения. Часть 1. Применение менеджмента риска

Дата актуализации: 01.06.2025

ГОСТ Р ИСО 22442-1-2025

Изделия медицинские, использующие ткани и их производные животного происхождения. Часть 1. Применение менеджмента риска

Обозначение: ГОСТ Р ИСО 22442-1-2025
Статус:принят
Название рус.:Изделия медицинские, использующие ткани и их производные животного происхождения. Часть 1. Применение менеджмента риска
Название англ.:Medical devices utilizing animal tissues and their derivatives. Part 1. Application of risk management
Дата актуализации текста:01.06.2025
Дата актуализации описания:01.06.2025
Дата издания:07.05.2025
Дата введения:01.09.2025
Взамен:ГОСТ Р ИСО 22442-1-2011
Аутентичен стандартам:ISO 22442-1:2020
Нормативные ссылки:ISO 10993-1;ISO 14971;ISO 22442-2;ISO 22442-3
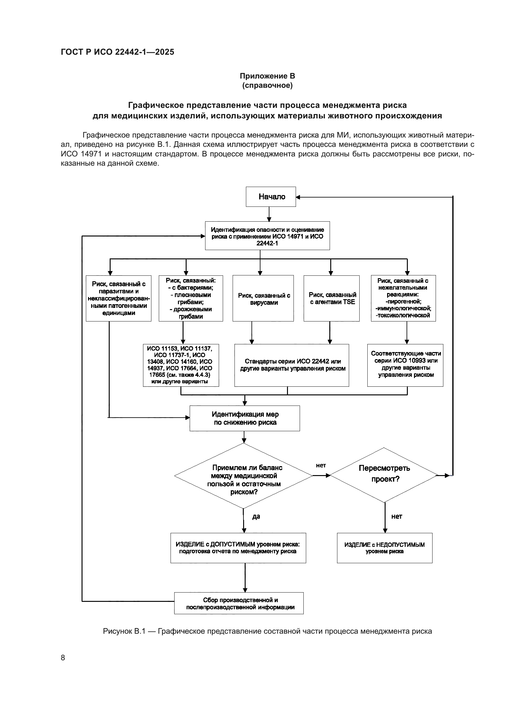
Область применения:Настоящий стандарт распространяется на медицинские изделия (МИ), за исключением диагностических МИ in vitro, изготовленных с использованием материалов животного происхождения, являющихся нежизнеспособными или приведенными в нежизнеспособное состояние. Настоящий стандарт в сочетании с ИСО 14971 определяет процедуру идентификации опасностей и опасных ситуаций, связанных с такими изделиями, для определения и оценивания возникающих рисков, управления этими рисками и мониторинга результативности такого управления. Настоящий стандарт устанавливает процесс принятия решения о допустимости остаточного риска, с учетом баланса остаточного риска, как установлено в ИСО 14971, и ожидаемой медицинской пользы по сравнению с существующими альтернативами. В настоящем стандарте установлены требования и приведены рекомендации по применению менеджмента риска, связанного с опасностями, характерными для МИ, произведенных с использованием тканей или их производных животного происхождения, такими как: a) контаминация бактериями, плесневыми или дрожжевыми грибами; b) контаминация вирусами; c) контаминация агентами, вызывающими инфекционные губчатые энцефалопатии (TSE); d) материал, вызывающий нежелательные (неблагоприятные) пирогенные, иммунологические или токсикологические реакции
Расположен в:Государственные стандарты Общероссийский классификатор стандартов Здравоохранение Лабораторная медицина Биологическая оценка медицинских средств
ГОСТ Р ИСО 22442-1-2025ГОСТ Р ИСО 22442-1-2025ГОСТ Р ИСО 22442-1-2025ГОСТ Р ИСО 22442-1-2025ГОСТ Р ИСО 22442-1-2025ГОСТ Р ИСО 22442-1-2025ГОСТ Р ИСО 22442-1-2025ГОСТ Р ИСО 22442-1-2025ГОСТ Р ИСО 22442-1-2025ГОСТ Р ИСО 22442-1-2025ГОСТ Р ИСО 22442-1-2025ГОСТ Р ИСО 22442-1-2025ГОСТ Р ИСО 22442-1-2025ГОСТ Р ИСО 22442-1-2025ГОСТ Р ИСО 22442-1-2025ГОСТ Р ИСО 22442-1-2025ГОСТ Р ИСО 22442-1-2025ГОСТ Р ИСО 22442-1-2025ГОСТ Р ИСО 22442-1-2025ГОСТ Р ИСО 22442-1-2025ГОСТ Р ИСО 22442-1-2025ГОСТ Р ИСО 22442-1-2025ГОСТ Р ИСО 22442-1-2025ГОСТ Р ИСО 22442-1-2025ГОСТ Р ИСО 22442-1-2025ГОСТ Р ИСО 22442-1-2025ГОСТ Р ИСО 22442-1-2025ГОСТ Р ИСО 22442-1-2025ГОСТ Р ИСО 22442-1-2025ГОСТ Р ИСО 22442-1-2025ГОСТ Р ИСО 22442-1-2025ГОСТ Р ИСО 22442-1-2025

© 2013 Ёшкин Кот :-) Карта сайта