Информационная система
«Ёшкин Кот»

Государственные стандартыДекларация о соответствии Единый перечень продукции ТС Классификатор государственных стандартов Общероссийский классификатор стандартов Обязательная сертификация Окп Тематические сборники Технические регламенты РФ Технические регламенты Таможенного союзаСтроительная документацияТехническая документация

Найти:
Где:
Отображать:
Упорядочить:

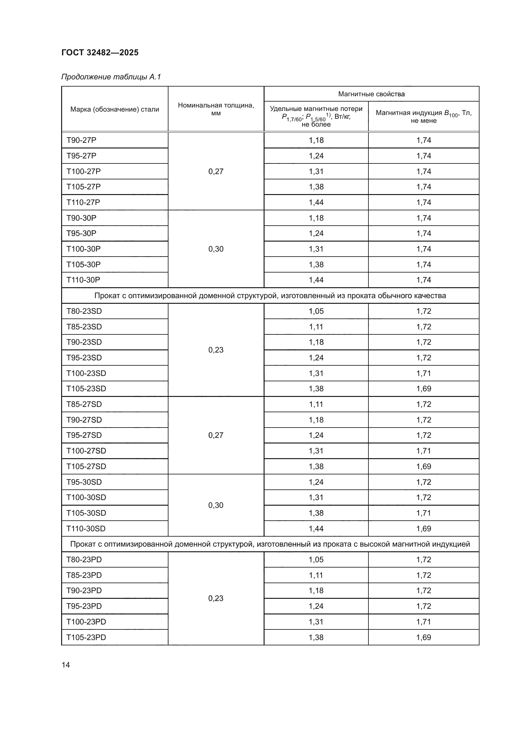
Скачать ГОСТ 32482-2025 Прокат тонколистовой холоднокатаный из электротехнической анизотропной стали для трансформаторов. Технические условия

Дата актуализации: 01.06.2025

ГОСТ 32482-2025

Прокат тонколистовой холоднокатаный из электротехнической анизотропной стали для трансформаторов. Технические условия

Обозначение: ГОСТ 32482-2025
Статус:принят
Название рус.:Прокат тонколистовой холоднокатаный из электротехнической анизотропной стали для трансформаторов. Технические условия
Название англ.:Gold-rolled grain-oriented electrical steel sheet and strip for transformer. Specifications
Дата актуализации текста:01.06.2025
Дата актуализации описания:01.06.2025
Дата регистрации:28.02.2025
Дата издания:05.05.2025
Дата введения:01.01.2026
Взамен:ГОСТ 32482-2013
Нормативные ссылки:ГОСТ 427;ГОСТ 4381;ГОСТ 6507;ГОСТ 7566;ГОСТ 12119.4;ГОСТ 12119.5;ГОСТ 12119.8;ГОСТ 21014-2022;ГОСТ 26877
Область применения:Настоящий стандарт распространяется на тонколистовой холоднокатаный прокат номинальной толщиной 0,23; 0,27; 0,30; 0,35 и 0,50 мм из электротехнической анизотропной стали, предназначенный для изготовления магнитопроводов (сердечников) различного рода электротехнических устройств
Расположен в:Государственные стандарты Общероссийский классификатор стандартов Металлургия Продукция из чугуна и стали Стали со специальными магнитными свойствами Стальной листовой прокат и полуфабрикаты
ГОСТ 32482-2025ГОСТ 32482-2025ГОСТ 32482-2025ГОСТ 32482-2025ГОСТ 32482-2025ГОСТ 32482-2025ГОСТ 32482-2025ГОСТ 32482-2025ГОСТ 32482-2025ГОСТ 32482-2025ГОСТ 32482-2025ГОСТ 32482-2025ГОСТ 32482-2025ГОСТ 32482-2025ГОСТ 32482-2025ГОСТ 32482-2025ГОСТ 32482-2025ГОСТ 32482-2025ГОСТ 32482-2025ГОСТ 32482-2025

© 2013 Ёшкин Кот :-) Карта сайта