Информационная система
«Ёшкин Кот»

Государственные стандартыДекларация о соответствии Единый перечень продукции ТС Классификатор государственных стандартов Общероссийский классификатор стандартов Обязательная сертификация Окп Тематические сборники Технические регламенты РФ Технические регламенты Таможенного союзаСтроительная документацияТехническая документация

Найти:
Где:
Отображать:
Упорядочить:

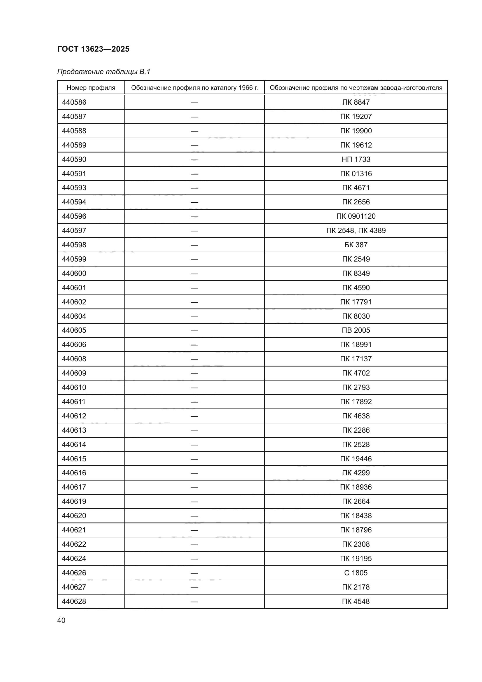
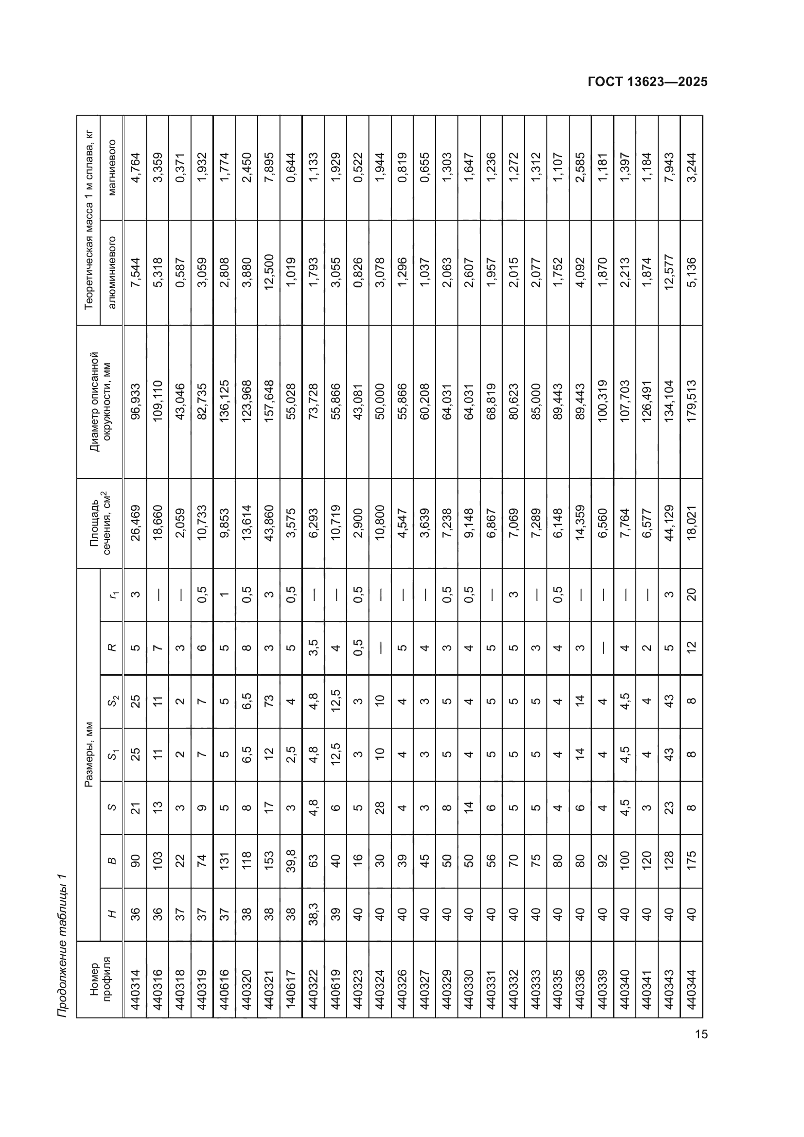
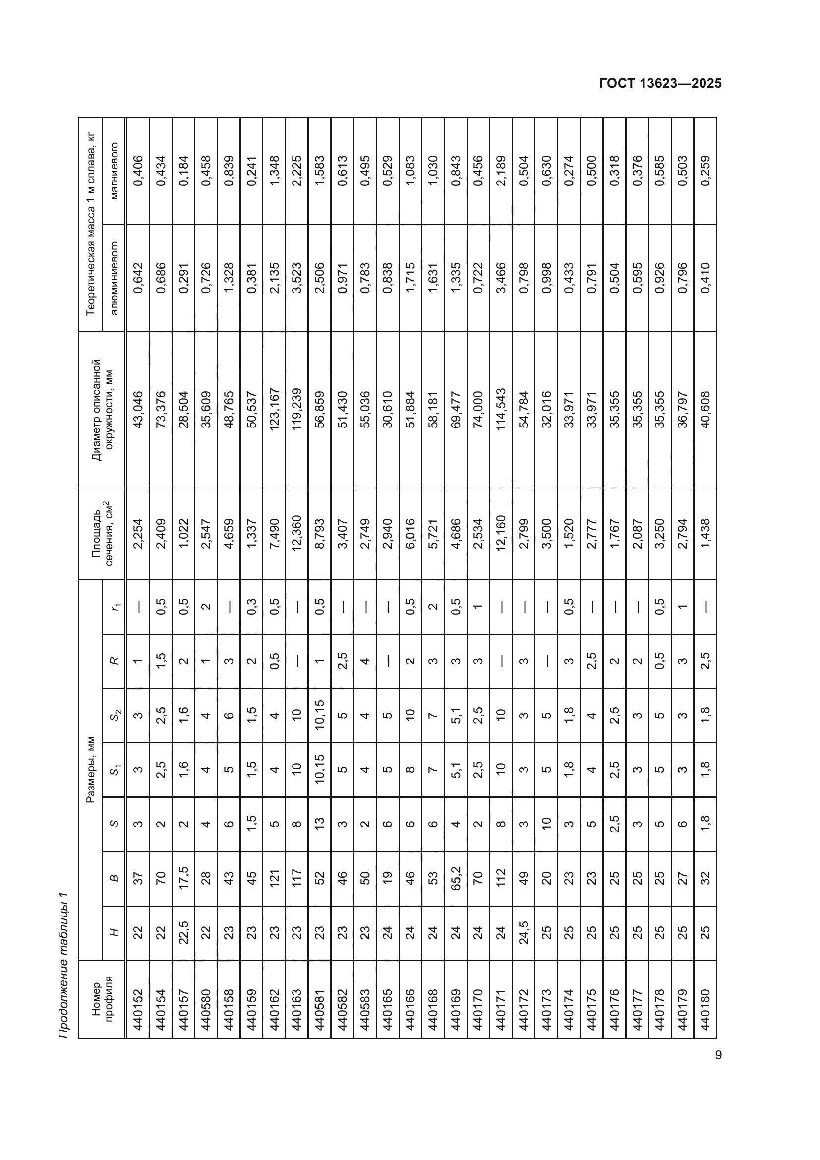
Скачать ГОСТ 13623-2025 Профили прессованные прямоугольные равнополочного швеллерного сечения из алюминия, алюминиевых и магниевых сплавов. Сортамент

Дата актуализации: 01.06.2025

ГОСТ 13623-2025

Профили прессованные прямоугольные равнополочного швеллерного сечения из алюминия, алюминиевых и магниевых сплавов. Сортамент

Обозначение: ГОСТ 13623-2025
Статус:принят
Название рус.:Профили прессованные прямоугольные равнополочного швеллерного сечения из алюминия, алюминиевых и магниевых сплавов. Сортамент
Название англ.:Extruded rectangular equishelf channel-section shapes of aluminium, aluminium and magnesium alloys. Assortment
Дата актуализации текста:01.06.2025
Дата актуализации описания:01.06.2025
Дата регистрации:31.03.2025
Дата издания:15.05.2025
Дата введения:01.10.2025
Взамен:ГОСТ 13623-90
Нормативные ссылки:ГОСТ 8617;ГОСТ 19657
Область применения:Настоящий стандарт устанавливает сортамент прессованных прямоугольных профилей швеллерного сечения из алюминия, алюминиевых и магниевых сплавов, изготавливаемых методом горячего прессования
Расположен в:Государственные стандарты Общероссийский классификатор стандартов Металлургия Продукция из цветных металлов Продукция из алюминия Продукция из магния
ГОСТ 13623-2025ГОСТ 13623-2025ГОСТ 13623-2025ГОСТ 13623-2025ГОСТ 13623-2025ГОСТ 13623-2025ГОСТ 13623-2025ГОСТ 13623-2025ГОСТ 13623-2025ГОСТ 13623-2025ГОСТ 13623-2025ГОСТ 13623-2025ГОСТ 13623-2025ГОСТ 13623-2025ГОСТ 13623-2025ГОСТ 13623-2025ГОСТ 13623-2025ГОСТ 13623-2025ГОСТ 13623-2025ГОСТ 13623-2025ГОСТ 13623-2025ГОСТ 13623-2025ГОСТ 13623-2025ГОСТ 13623-2025ГОСТ 13623-2025ГОСТ 13623-2025ГОСТ 13623-2025ГОСТ 13623-2025ГОСТ 13623-2025ГОСТ 13623-2025ГОСТ 13623-2025ГОСТ 13623-2025ГОСТ 13623-2025ГОСТ 13623-2025ГОСТ 13623-2025ГОСТ 13623-2025ГОСТ 13623-2025ГОСТ 13623-2025ГОСТ 13623-2025ГОСТ 13623-2025ГОСТ 13623-2025ГОСТ 13623-2025ГОСТ 13623-2025ГОСТ 13623-2025ГОСТ 13623-2025ГОСТ 13623-2025

© 2013 Ёшкин Кот :-) Карта сайта