Информационная система
«Ёшкин Кот»
Государственные стандарты
Декларация о соответствии
Единый перечень продукции ТС
Классификатор государственных стандартов
Общероссийский классификатор стандартов
Обязательная сертификация
Окп
Тематические сборники
Технические регламенты РФ
Технические регламенты Таможенного союза
Строительная документация
Техническая документация
Найти:
Где:
В описании
В номере документа
В названии документа
Отображать:
Все найденные
Действующие
Заменённые
Отменённые
Принятые (но не вступившие в силу)
Утратившие силу в РФ
С истекшим сроком действия
Действующие только в РФ
С неизвестным статусом
Упорядочить:
По номеру стандарта
По дате введения
Скачать ГОСТ 13620-2025 Профили прессованные прямоугольные равнополочного зетового сечения из алюминия, алюминиевых и магниевых сплавов. Сортамент
Дата актуализации: 01.06.2025
ГОСТ 13620-2025
Профили прессованные прямоугольные равнополочного зетового сечения из алюминия, алюминиевых и магниевых сплавов. Сортамент
Обозначение:
ГОСТ 13620-2025
Статус:
принят
Название рус.:
Профили прессованные прямоугольные равнополочного зетового сечения из алюминия, алюминиевых и магниевых сплавов. Сортамент
Название англ.:
Extruded rectangular normal Z-section shapes of aluminium, aluminium and magnesium alloys. Assortment
Дата актуализации текста:
01.06.2025
Дата актуализации описания:
01.06.2025
Дата регистрации:
31.03.2025
Дата издания:
15.05.2025
Дата введения:
01.10.2025
Взамен:
ГОСТ 13620-90
Нормативные ссылки:
ГОСТ 8617
;
ГОСТ 19657
Область применения:
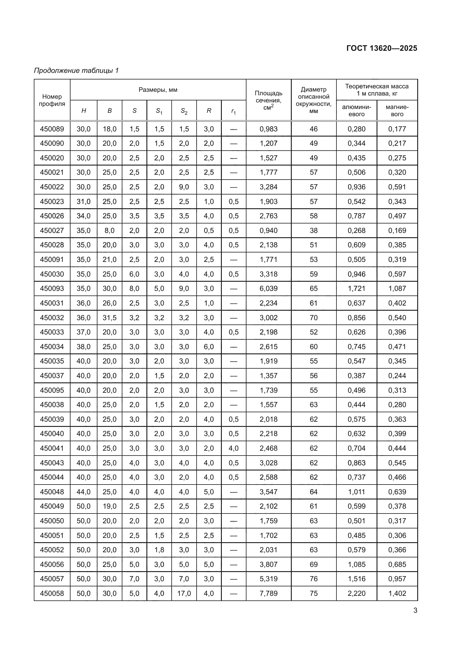
Настоящий стандарт устанавливает сортамент прессованных прямоугольных профилей равнополочного зетового сечения из алюминия, алюминиевых и магниевых сплавов, изготовляемых методом горячего прессования
Расположен в:
Государственные стандарты
Общероссийский классификатор стандартов
Металлургия
Продукция из цветных металлов
Продукция из алюминия
Продукция из магния
© 2013 Ёшкин Кот :-)
Карта сайта