| Обозначение: |  ГОСТ Р 60.2.7.1-2024 |
| Статус: | действует |
| Название рус.: | Роботы и робототехнические устройства. Модульный принцип построения сервисных роботов. Часть 201. Общая информационная модель модулей |
| Название англ.: | Robots and robotic devices. Modular principle of service robots structure. Part 201. Common information model for modules |
| Дата актуализации текста: | 01.06.2025 |
| Дата актуализации описания: | 01.06.2025 |
| Дата издания: | 03.12.2024 |
| Дата введения: | 01.01.2025 |
| Аутентичен стандартам: | ISO 22166-201:2024 |
| Нормативные ссылки: | ISO 22166-1:2021;IETF RFC 4122;IEEE/Open Group 1003.1-2017 |
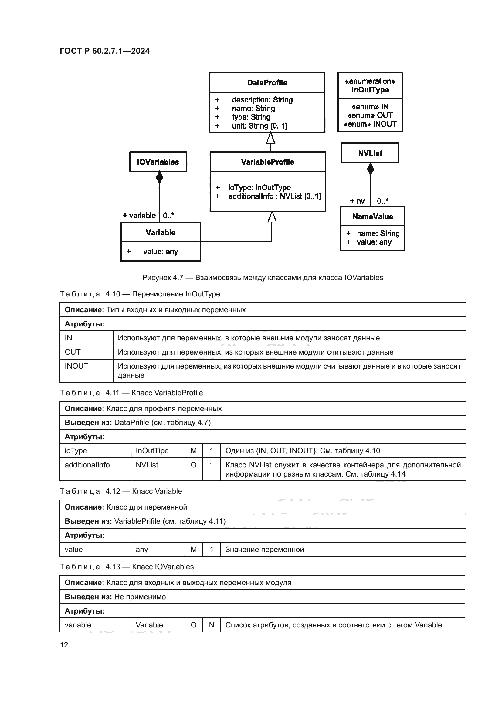
| Область применения: | Настоящий стандарт определяет требования и руководящие указания к общей информационной модели (ОИМ) модулей сервисных роботов для обеспечения интероперабельности, возможности повторного использования и компонуемости. Настоящий стандарт определяет структуру ОИМ и детализирует ее использование по назначению, сущность атрибутов и подклассов. Требования настоящего стандарта применимы к сервисным роботам |
|
| Расположен в: |
|