Информационная система
«Ёшкин Кот»

Государственные стандартыДекларация о соответствии Единый перечень продукции ТС Классификатор государственных стандартов Общероссийский классификатор стандартов Обязательная сертификация Окп Тематические сборники Технические регламенты РФ Технические регламенты Таможенного союзаСтроительная документацияТехническая документация

Найти:
Где:
Отображать:
Упорядочить:

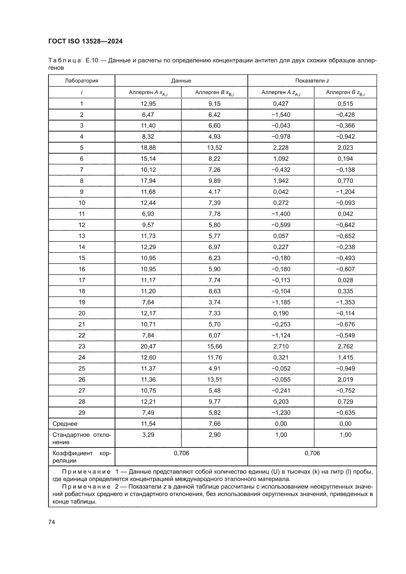
Скачать ГОСТ ISO 13528-2024 Статистические методы. Применение при проверке квалификации посредством межлабораторного сличения

Дата актуализации: 01.06.2025

ГОСТ ISO 13528-2024

Статистические методы. Применение при проверке квалификации посредством межлабораторного сличения

Обозначение: ГОСТ ISO 13528-2024
Статус:принят
Название рус.:Статистические методы. Применение при проверке квалификации посредством межлабораторного сличения
Название англ.:Statistical methods. Use in proficiency testing by interlaboratory comparison
Дата актуализации текста:01.06.2025
Дата актуализации описания:01.06.2025
Дата регистрации:27.12.2024
Дата издания:24.02.2025
Дата введения:01.07.2025
Аутентичен стандартам:ISO 13528:2022
Нормативные ссылки:ISO 3534-1;ISO 3534-2;ISO 5725-1;ISO/IEC 17043;ISO Guide 30;ISO/IEC Guide 99
Область применения:В настоящем стандарте приведено детальное описание статистических методов, которые провайдеры проверки квалификации могут использовать для разработки программ проверки квалификации и анализа данных, полученных в результате реализации этих программ. Настоящий стандарт включает рекомендации по интерпретации данных проверки квалификации, представленных участниками таких программ и органами по аккредитации. Процедуры, описанные в настоящем стандарте, могут быть применены для демонстрации того, что результаты измерений, полученные лабораториями, контролирующими органами и физическими лицами, соответствуют указанным критериям приемлемого функционирования. Настоящий стандарт применим к проверке квалификации, когда сообщаемые результаты являются либо количественными результатами измерений, либо качественными наблюдениями за исследуемыми образцами
Расположен в:Государственные стандарты Общероссийский классификатор стандартов Услуги. Организация фирм, управление и качество. Администрация. Транспорт. Социология. Качество Применение статистических методов
ГОСТ ISO 13528-2024ГОСТ ISO 13528-2024ГОСТ ISO 13528-2024ГОСТ ISO 13528-2024ГОСТ ISO 13528-2024ГОСТ ISO 13528-2024ГОСТ ISO 13528-2024ГОСТ ISO 13528-2024ГОСТ ISO 13528-2024ГОСТ ISO 13528-2024ГОСТ ISO 13528-2024ГОСТ ISO 13528-2024ГОСТ ISO 13528-2024ГОСТ ISO 13528-2024ГОСТ ISO 13528-2024ГОСТ ISO 13528-2024ГОСТ ISO 13528-2024ГОСТ ISO 13528-2024ГОСТ ISO 13528-2024ГОСТ ISO 13528-2024ГОСТ ISO 13528-2024ГОСТ ISO 13528-2024ГОСТ ISO 13528-2024ГОСТ ISO 13528-2024ГОСТ ISO 13528-2024ГОСТ ISO 13528-2024ГОСТ ISO 13528-2024ГОСТ ISO 13528-2024ГОСТ ISO 13528-2024ГОСТ ISO 13528-2024ГОСТ ISO 13528-2024ГОСТ ISO 13528-2024ГОСТ ISO 13528-2024ГОСТ ISO 13528-2024ГОСТ ISO 13528-2024ГОСТ ISO 13528-2024ГОСТ ISO 13528-2024ГОСТ ISO 13528-2024ГОСТ ISO 13528-2024ГОСТ ISO 13528-2024ГОСТ ISO 13528-2024ГОСТ ISO 13528-2024ГОСТ ISO 13528-2024ГОСТ ISO 13528-2024ГОСТ ISO 13528-2024ГОСТ ISO 13528-2024ГОСТ ISO 13528-2024ГОСТ ISO 13528-2024ГОСТ ISO 13528-2024ГОСТ ISO 13528-2024ГОСТ ISO 13528-2024ГОСТ ISO 13528-2024ГОСТ ISO 13528-2024ГОСТ ISO 13528-2024ГОСТ ISO 13528-2024ГОСТ ISO 13528-2024ГОСТ ISO 13528-2024ГОСТ ISO 13528-2024ГОСТ ISO 13528-2024ГОСТ ISO 13528-2024ГОСТ ISO 13528-2024ГОСТ ISO 13528-2024ГОСТ ISO 13528-2024ГОСТ ISO 13528-2024ГОСТ ISO 13528-2024ГОСТ ISO 13528-2024ГОСТ ISO 13528-2024ГОСТ ISO 13528-2024ГОСТ ISO 13528-2024ГОСТ ISO 13528-2024ГОСТ ISO 13528-2024ГОСТ ISO 13528-2024ГОСТ ISO 13528-2024ГОСТ ISO 13528-2024ГОСТ ISO 13528-2024ГОСТ ISO 13528-2024ГОСТ ISO 13528-2024ГОСТ ISO 13528-2024ГОСТ ISO 13528-2024ГОСТ ISO 13528-2024ГОСТ ISO 13528-2024ГОСТ ISO 13528-2024ГОСТ ISO 13528-2024ГОСТ ISO 13528-2024ГОСТ ISO 13528-2024ГОСТ ISO 13528-2024ГОСТ ISO 13528-2024ГОСТ ISO 13528-2024ГОСТ ISO 13528-2024ГОСТ ISO 13528-2024

© 2013 Ёшкин Кот :-) Карта сайта